Официальное опубликование правовых актов
ОФИЦИАЛЬНОЕ ОПУБЛИКОВАНИЕ
Постановление Правительства Красноярского края от 01.03.2016 № 83-п
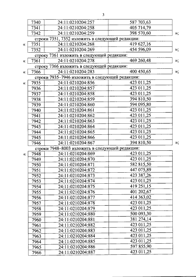
"О внесении изменений в постановление Правительства Красноярского края от 27.11.2013 № 618-п "Об утверждении результатов государственной кадастровой оценки земель садоводческих, огороднических и дачных объединений Красноярского края"
Номер опубликования: 2400201603090009
Дата опубликования: 09.03.2016
Страница №3 из 5:
Увеличить