Постановление Правительства Красноярского края от 01.03.2016 № 82-п
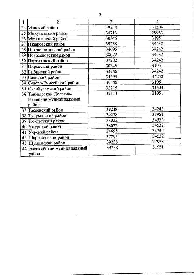
"Об утверждении стоимости одного квадратного метра общей площади жилья в сельской местности на территории муниципальных районов Красноярского края при строительстве и приобретении жилья на 2016 год участниками подпрограммы "Устойчивое развитие сельских территорий" государственной программы Красноярского края "Развитие сельского хозяйства и регулирование рынков сельскохозяйственной продукции, сырья и продовольствия"
"Об утверждении стоимости одного квадратного метра общей площади жилья в сельской местности на территории муниципальных районов Красноярского края при строительстве и приобретении жилья на 2016 год участниками подпрограммы "Устойчивое развитие сельских территорий" государственной программы Красноярского края "Развитие сельского хозяйства и регулирование рынков сельскохозяйственной продукции, сырья и продовольствия"
Номер опубликования: 2400201603030003
Дата опубликования:
03.03.2016
