Официальное опубликование правовых актов
ОФИЦИАЛЬНОЕ ОПУБЛИКОВАНИЕ
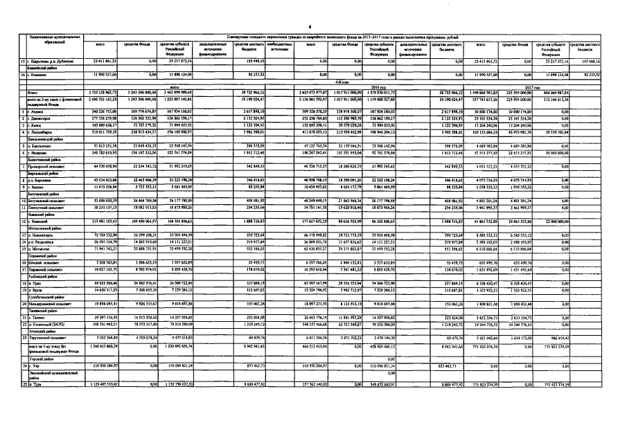
Постановление Правительства Красноярского края от 23.12.2015 № 696-п
"О внесении изменений в постановление Правительства Красноярского края от 06.05.2013 № 228-п "Об утверждении региональных адресных программ по переселению граждан из аварийного жилищного фонда в Красноярском крае на 2013–2017 годы"
Номер опубликования: 2400201512300013
Дата опубликования: 30.12.2015
Страница №8 из 8:
Увеличить