Официальное опубликование правовых актов
ОФИЦИАЛЬНОЕ ОПУБЛИКОВАНИЕ
Указ Губернатора Красноярского края от 10.04.2015 № 79-уг
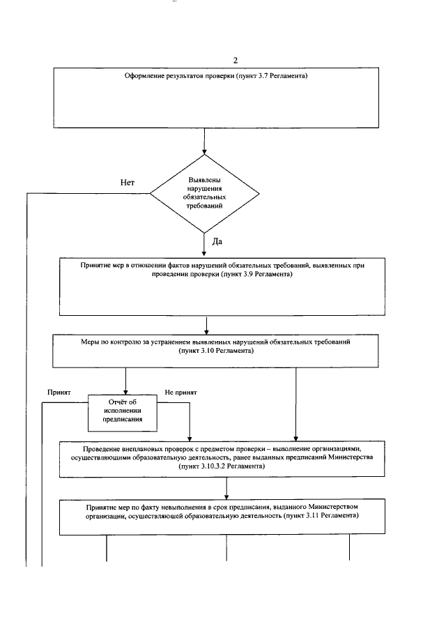
"О внесении изменений в указ Губернатора Красноярского края от 20.09.2011 № 173-уг "Об утверждении административного регламента исполнения службой по контролю в области образования Красноярского края государственной функции по осуществлению федерального государственного надзора в сфере образования в рамках переданных Российской Федерацией полномочий"
Номер опубликования: 2400201504160002
Дата опубликования: 16.04.2015
Страница №20 из 21:
Увеличить