Официальное опубликование правовых актов
ОФИЦИАЛЬНОЕ ОПУБЛИКОВАНИЕ
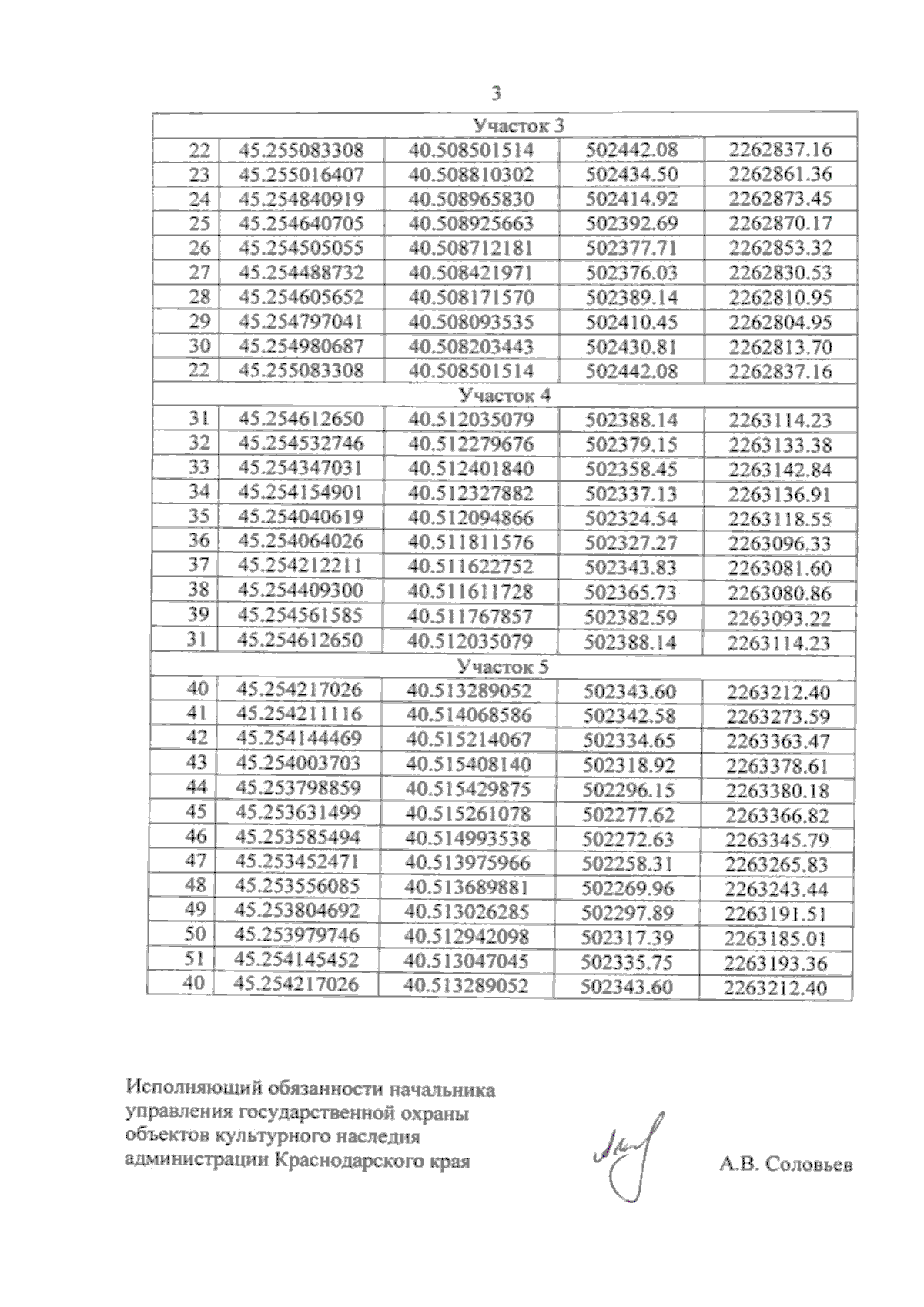
Приказ администрации Краснодарского края от 24.02.2026 № 162-КН
"Об утверждении границ и режима использования территории объекта культурного наследия федерального значения "Курганная группа "Лебедевская 1" (8 насыпей)", эпоха бронзы – позднее средневековье, Краснодарский край, Гулькевичский район, х. Лебедев, 1 км к северо–северо–западу от северо–восточного угла хутора"
Номер опубликования: 2301202603020016
Дата опубликования: 02.03.2026
Страница №5 из 6:
Увеличить