Официальное опубликование правовых актов
ОФИЦИАЛЬНОЕ ОПУБЛИКОВАНИЕ
Приказ администрации Краснодарского края от 12.02.2026 № 96-КН
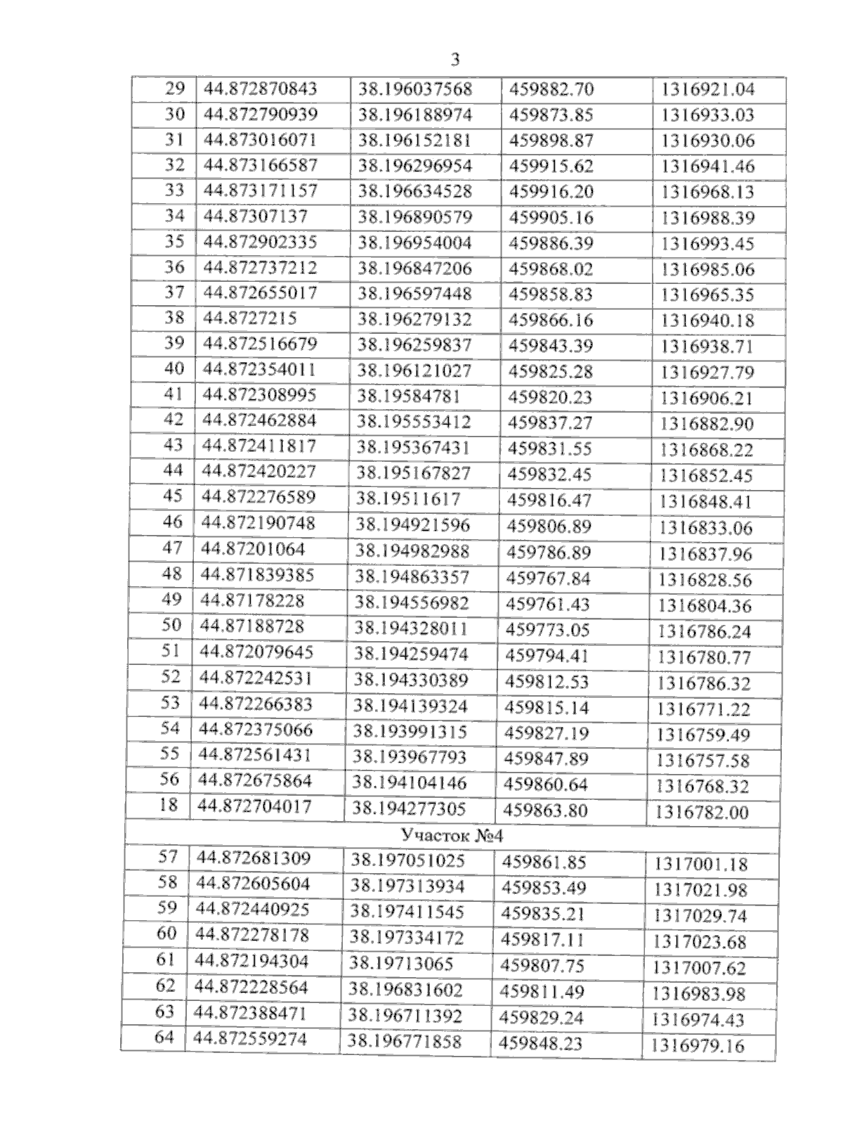
"Об утверждении границ и режима использования территории объекта культурного наследия федерального значения "Курганная группа "Абинская 5" (11 насыпей)", третье тысячелетие до н.э. – XVI в. н.э., Краснодарский край, Абинский район, г. Абинск, 1 км к востоку от города, 0,2 км к югу от железной дороги Краснодар – Новороссийск"
Номер опубликования: 2301202602160005
Дата опубликования: 16.02.2026
Страница №5 из 7:
Увеличить