Официальное опубликование правовых актов
ОФИЦИАЛЬНОЕ ОПУБЛИКОВАНИЕ
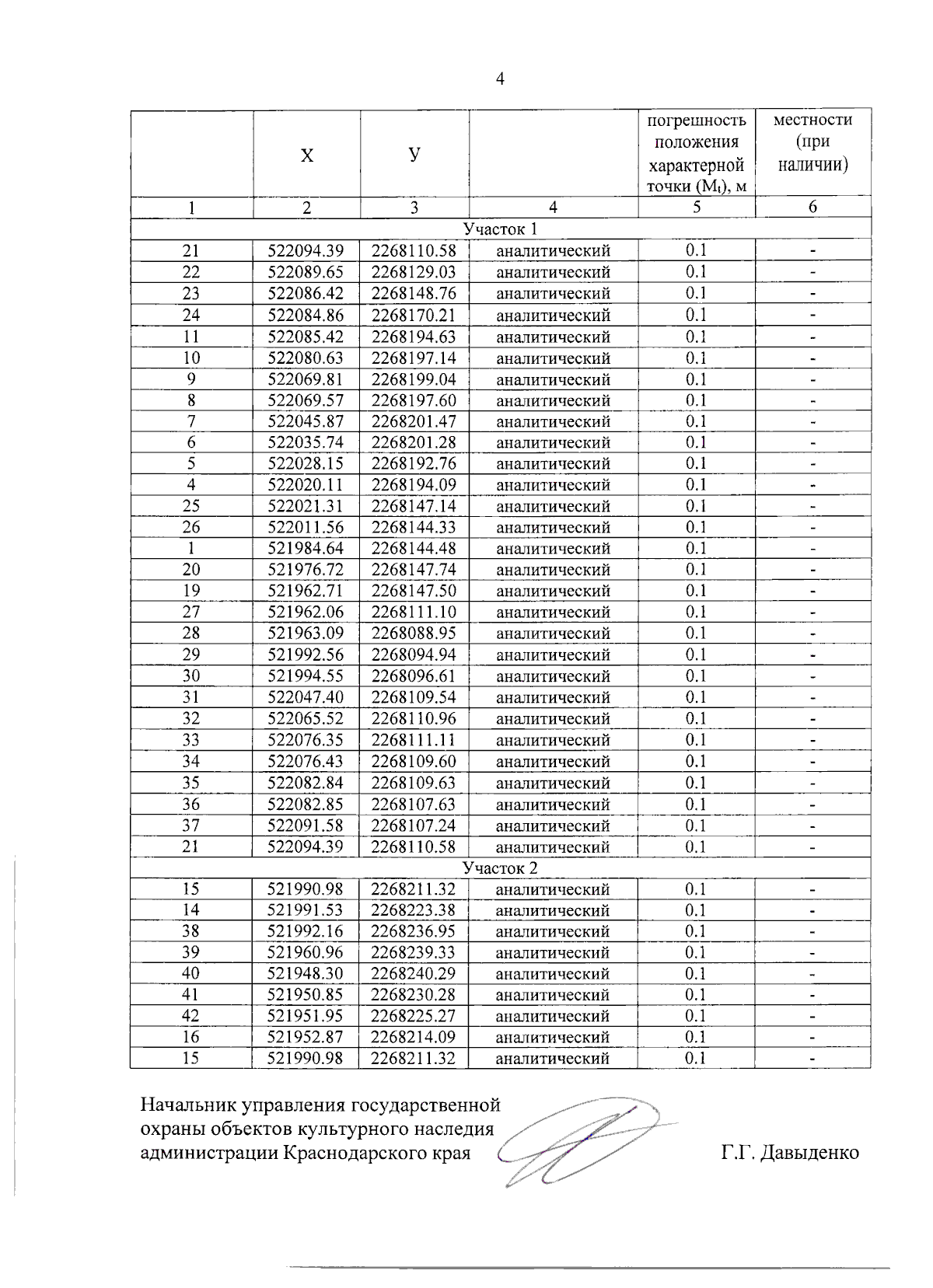
Приказ администрации Краснодарского края от 22.12.2025 № 1709-КН
"Об установлении зон охраны, утверждении режимов использования земель и требований к градостроительным регламентам в границах территорий данных зон объекта культурного наследия регионального значения "Храм Покрова Богородицы", начало XX в., Краснодарский край, Кавказский район, г. Кропоткин, ул. Базарная/ ул. Комсомольская, 61–а/ 26–а"
Номер опубликования: 2301202512240017
Дата опубликования: 24.12.2025
Страница №6 из 9:
Увеличить