Официальное опубликование правовых актов
ОФИЦИАЛЬНОЕ ОПУБЛИКОВАНИЕ
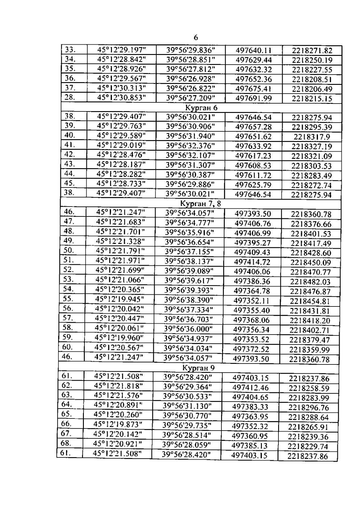
Приказ администрации Краснодарского края от 17.12.2025 № 1658-КН
"Об утверждении границ и режима использования территории объекта культурного наследия федерального значения "Курганная группа", эпоха бронзы – средневековье, Краснодарский край, Усть–Лабинский район, х. Семенов, 0,6 км к юго–юго–западу от хутора"
Номер опубликования: 2301202512230047
Дата опубликования: 23.12.2025
Страница №8 из 16:
Увеличить