Официальное опубликование правовых актов
ОФИЦИАЛЬНОЕ ОПУБЛИКОВАНИЕ
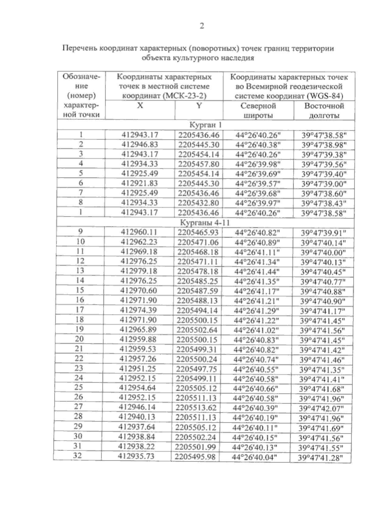
Приказ администрации Краснодарского края от 17.12.2025 № 1639-КН
"О включении объекта "Курганная группа "Зозулин-4", Краснодарский край, Апшеронский район, в 2111 м западу от х. Зазулин, в перечень выявленных объектов культурного наследия Краснодарского края, утверждении его границ и режима использования территории"
Номер опубликования: 2301202512230031
Дата опубликования: 23.12.2025
Страница №4 из 6:
Увеличить