Официальное опубликование правовых актов
ОФИЦИАЛЬНОЕ ОПУБЛИКОВАНИЕ
Приказ администрации Краснодарского края от 17.12.2025 № 1638-КН
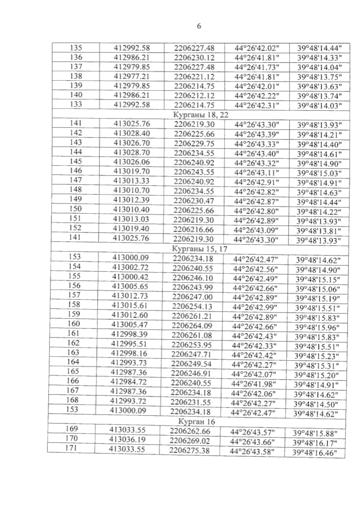
"О включении объекта "Курганная группа "Зозулин-3", Краснодарский край, Апшеронский район, в 1564 м к западу от х. Зазулин, в перечень выявленных объектов культурного наследия Краснодарского края, утверждении его границ и режима использования территории"
Номер опубликования: 2301202512230022
Дата опубликования: 23.12.2025
Страница №8 из 13:
Увеличить