Официальное опубликование правовых актов
ОФИЦИАЛЬНОЕ ОПУБЛИКОВАНИЕ
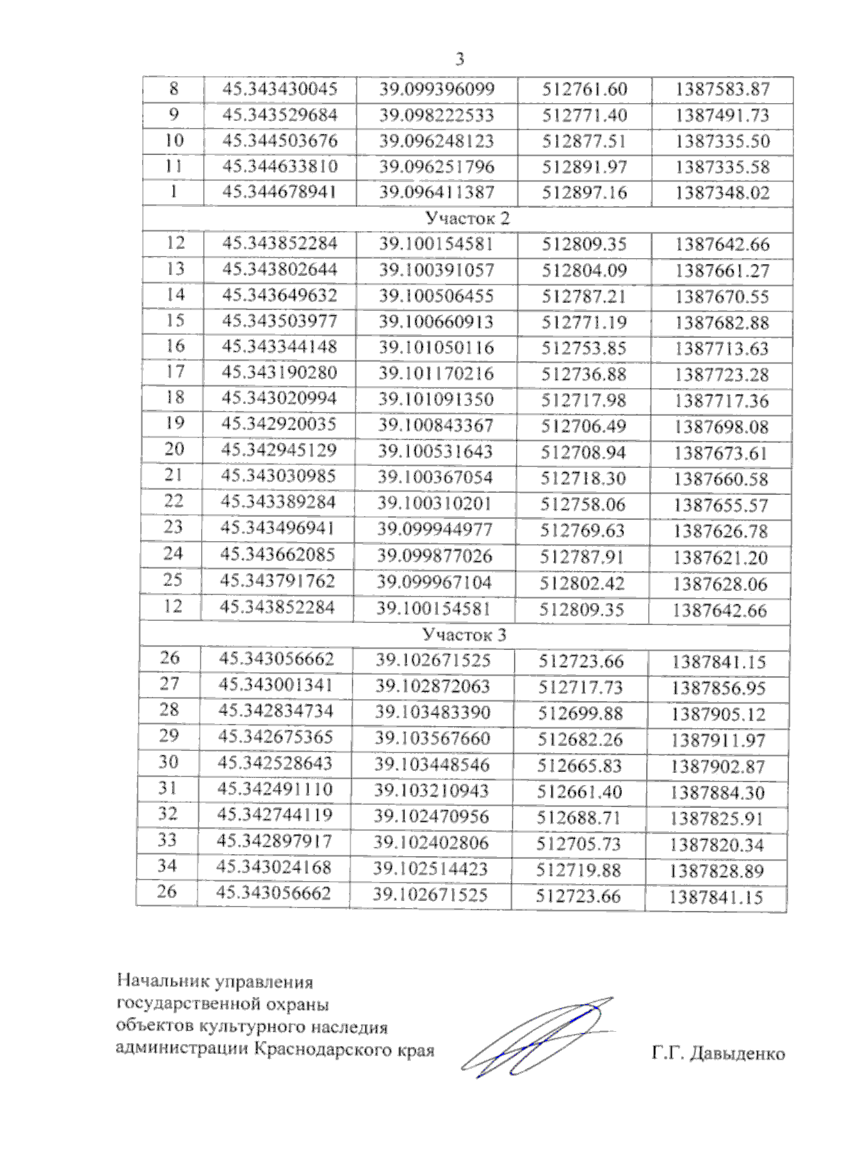
Приказ администрации Краснодарского края от 09.12.2025 № 1495-КН
"Об утверждении границ и режима использования территории объекта культурного наследия федерального значения "Курганная группа "Старомышастовская 43" (9 насыпей)", эпоха бронзы – позднее средневековье, Краснодарский край, Динской район, ст–ца Старомышастовская, 2,55 км к юго–востоку от северного угла станицы"
Номер опубликования: 2301202512150030
Дата опубликования: 15.12.2025
Страница №5 из 6:
Увеличить