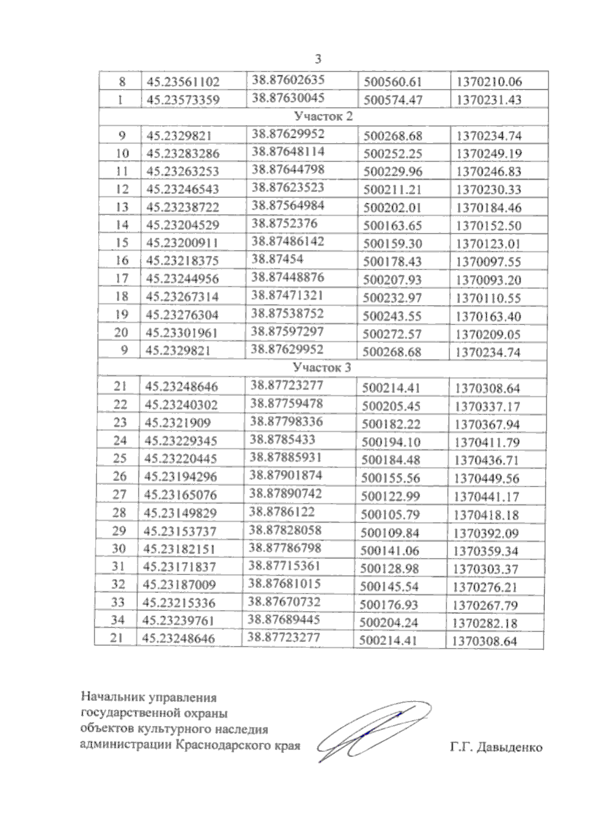
Приказ администрации Краснодарского края от 09.12.2025 № 1507-КН
"Об утверждении границ и режима использования территории объекта культурного наследия федерального значения "Курганная группа "Новотитаровская 22" (6 насыпей)", эпоха железа, Краснодарский край, Динской район, х. Осечки, 0,2 км к западу от северной окраины хутора"
"Об утверждении границ и режима использования территории объекта культурного наследия федерального значения "Курганная группа "Новотитаровская 22" (6 насыпей)", эпоха железа, Краснодарский край, Динской район, х. Осечки, 0,2 км к западу от северной окраины хутора"
Номер опубликования: 2301202512150012
Дата опубликования:
15.12.2025
