Официальное опубликование правовых актов
ОФИЦИАЛЬНОЕ ОПУБЛИКОВАНИЕ
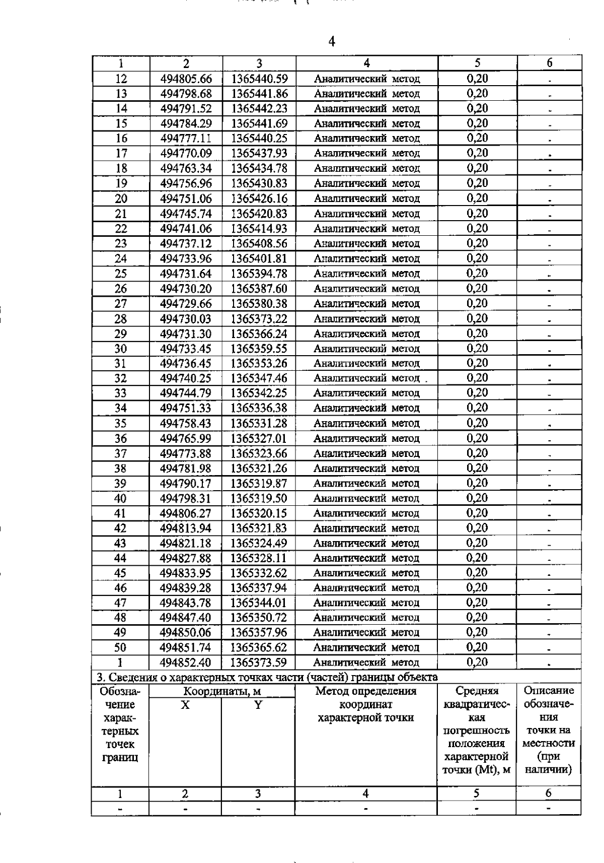
Приказ министерства природных ресурсов Краснодарского края от 02.12.2025 № 1846
"Об установлении зон санитарной охраны источника питьевого и хозяйственно-бытового водоснабжения общества с ограниченной ответственностью "Ключ здоровья" в муниципальном образовании город Краснодар"
Номер опубликования: 2301202512080005
Дата опубликования: 08.12.2025
Страница №6 из 11:
Увеличить