Официальное опубликование правовых актов
ОФИЦИАЛЬНОЕ ОПУБЛИКОВАНИЕ
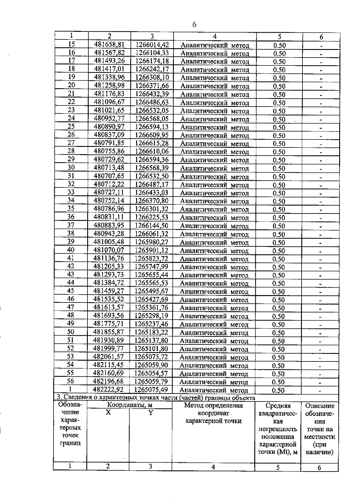
Приказ министерства природных ресурсов Краснодарского края от 02.12.2025 № 1848
"Об установлении зон санитарной охраны источника питьевого и хозяйственно-бытового водоснабжения акционерного общества "Анапа Водоканал" в муниципальном образовании муниципальный округ город-курорт Анапа"
Номер опубликования: 2301202512080001
Дата опубликования: 08.12.2025
Страница №8 из 11:
Увеличить