Приказ администрации Краснодарского края от 21.10.2025 № 1336-КН
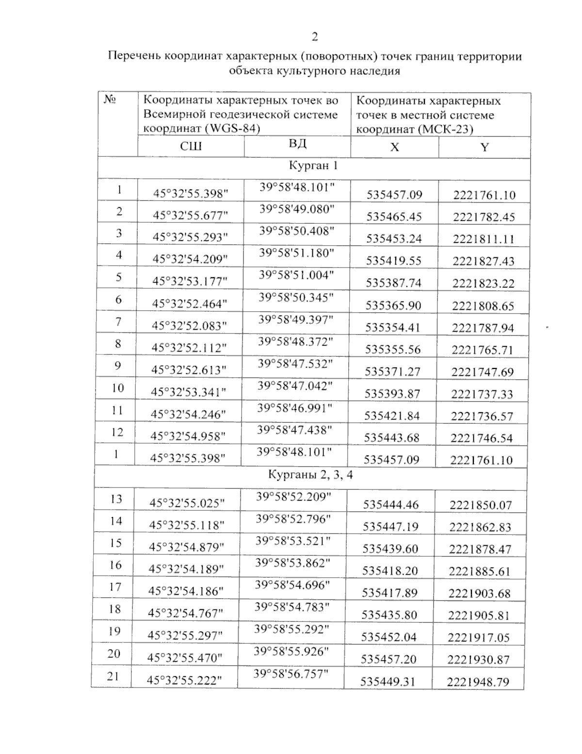
"Об утверждении границ и режима использования территории объекта культурного наследия федерального значения "Курганная группа (7 насыпей)", эпоха бронзы – позднее средневековье, Краснодарский край, Выселковский район, ст–ца Новогражданская, 0,9 км к юго–западу от станицы"
"Об утверждении границ и режима использования территории объекта культурного наследия федерального значения "Курганная группа (7 насыпей)", эпоха бронзы – позднее средневековье, Краснодарский край, Выселковский район, ст–ца Новогражданская, 0,9 км к юго–западу от станицы"
Номер опубликования: 2301202510230024
Дата опубликования:
23.10.2025
