Официальное опубликование правовых актов
ОФИЦИАЛЬНОЕ ОПУБЛИКОВАНИЕ
Приказ администрации Краснодарского края от 13.10.2025 № 1238-КН
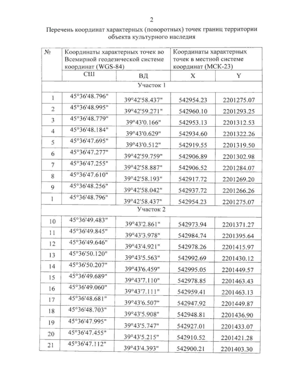
"Об утверждении границ и режима использования территории объекта культурного наследия федерального значения "Курганная группа (3 насыпи)", эпоха бронзы – позднее средневековье, Краснодарский край, Выселковский район, ст–ца Выселки, 4 км к северо–востоку от северо–восточной окраины станицы"
Номер опубликования: 2301202510200012
Дата опубликования: 20.10.2025
Страница №4 из 6:
Увеличить