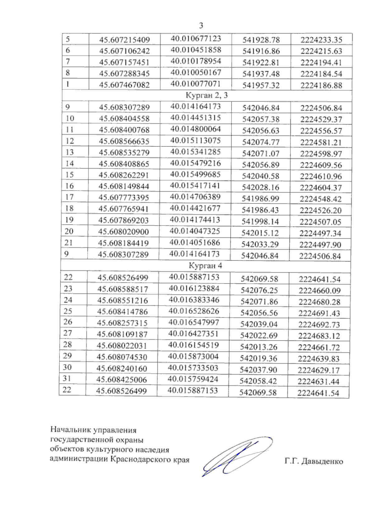
Приказ администрации Краснодарского края от 10.10.2025 № 1218-КН
"Об утверждении границ и режима использования территории объекта культурного наследия федерального значения "Курганная группа", Краснодарский край, Выселковский район, ст–ца Новогражданская, 1,5 км к северо–востоку от станицы, колхоз "Рассвет", 3–е отделение, поле 11"
"Об утверждении границ и режима использования территории объекта культурного наследия федерального значения "Курганная группа", Краснодарский край, Выселковский район, ст–ца Новогражданская, 1,5 км к северо–востоку от станицы, колхоз "Рассвет", 3–е отделение, поле 11"
Номер опубликования: 2301202510150021
Дата опубликования:
15.10.2025
