Приказ администрации Краснодарского края от 10.10.2025 № 1212-КН
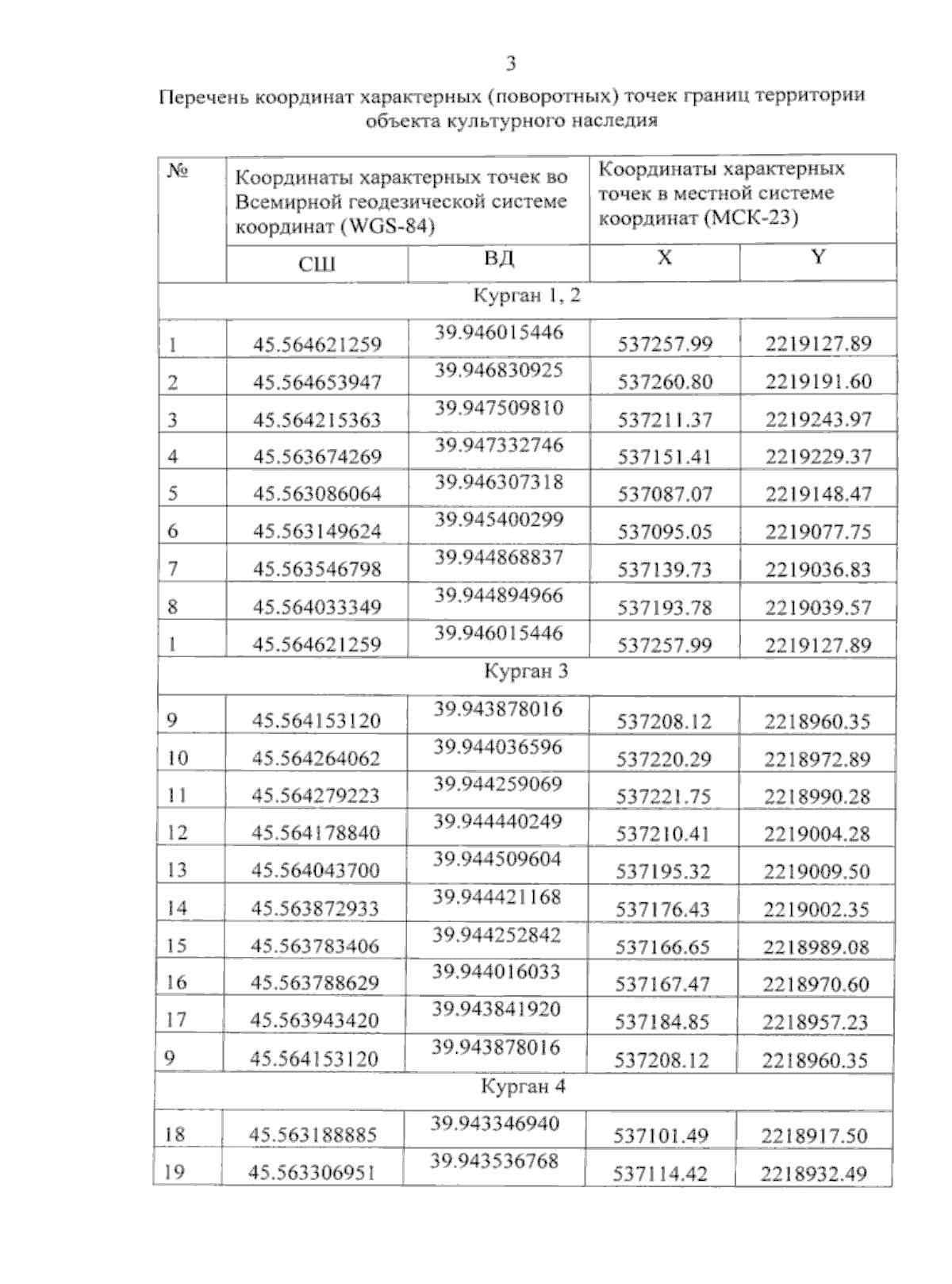
"Об утверждении границ и режима использования территории объекта культурного наследия федерального значения "Курганная группа "Два брата", Краснодарский край, Выселковский район, ст–ца Новомалороссийская, 8 км к юго–востоку от станицы"
"Об утверждении границ и режима использования территории объекта культурного наследия федерального значения "Курганная группа "Два брата", Краснодарский край, Выселковский район, ст–ца Новомалороссийская, 8 км к юго–востоку от станицы"
Номер опубликования: 2301202510150015
Дата опубликования:
15.10.2025
