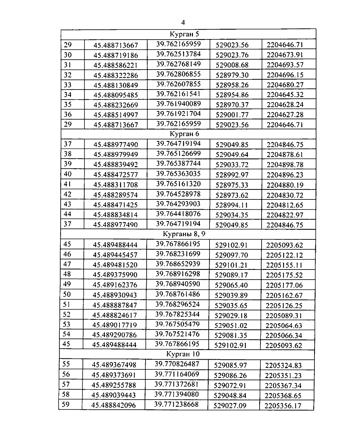
Приказ администрации Краснодарского края от 08.10.2025 № 1191-КН
"Об утверждении границ и режима использования территории объекта культурного наследия федерального значения "Курганная группа", Краснодарский край, Выселковский район, х. Бейсужек Второй, восточная окраина хутора, колхоз "Электросила", 1–е отделение"
"Об утверждении границ и режима использования территории объекта культурного наследия федерального значения "Курганная группа", Краснодарский край, Выселковский район, х. Бейсужек Второй, восточная окраина хутора, колхоз "Электросила", 1–е отделение"
Номер опубликования: 2301202510140011
Дата опубликования:
14.10.2025
