Официальное опубликование правовых актов
ОФИЦИАЛЬНОЕ ОПУБЛИКОВАНИЕ
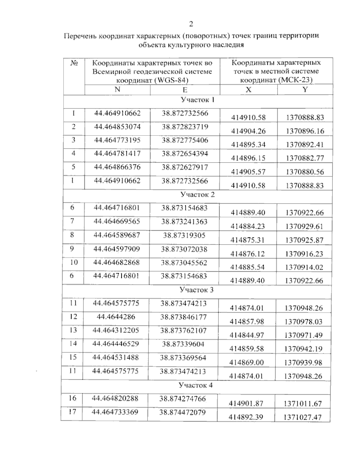
Приказ администрации Краснодарского края от 07.10.2025 № 1170-КН
"Об утверждении границ и режима использования территории объекта культурного наследия федерального значения "Курганная группа "Шапсуго–10" (13 насыпей)", эпоха позднего средневековья, Краснодарский край, Туапсинский район, с. Молдавановка, юго–восточная часть села"
Номер опубликования: 2301202510130020
Дата опубликования: 13.10.2025
Страница №4 из 6:
Увеличить