Официальное опубликование правовых актов
ОФИЦИАЛЬНОЕ ОПУБЛИКОВАНИЕ
Приказ администрации Краснодарского края от 25.07.2025 № 704-КН
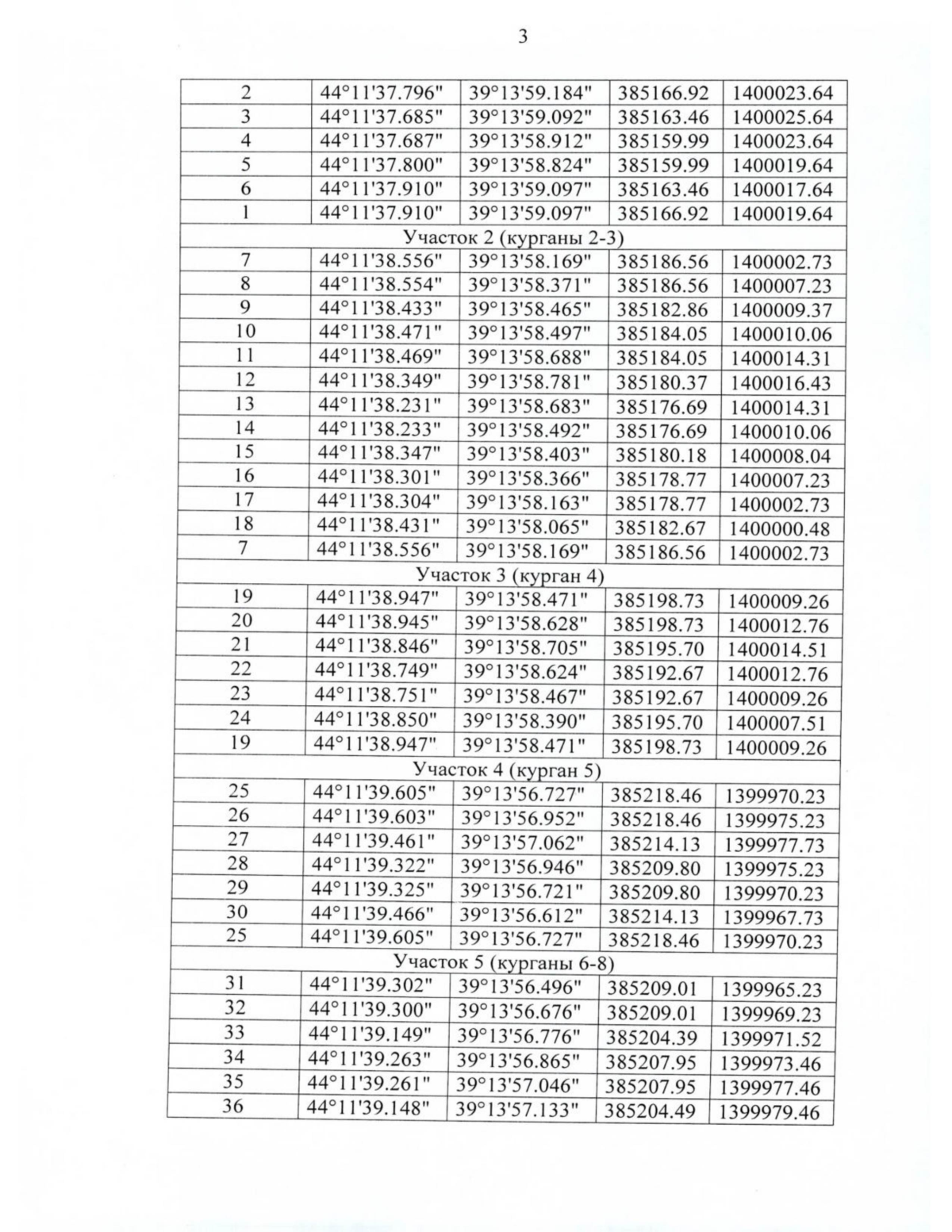
"О включении объекта "Курганный могильник "Кривенковское 1", Краснодарский край, Туапсинский район, на западной окраине с. Кривенковское, в 1,9 км к северо-востоку от вершины г. Невеб, в перечень выявленных объектов культурного наследия Краснодарского края, утверждении его границ и режима использования территории"
Номер опубликования: 2301202507310015
Дата опубликования: 31.07.2025
Страница №5 из 8:
Увеличить