Официальное опубликование правовых актов
ОФИЦИАЛЬНОЕ ОПУБЛИКОВАНИЕ
Приказ администрации Краснодарского края от 27.03.2025 № 416-КН
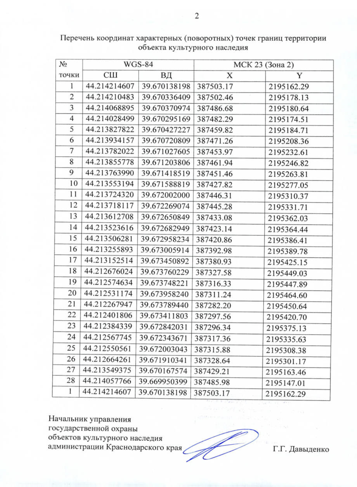
"О включении объекта "Курганная группа "Кушинка 2", Краснодарский край, Апшеронский район, х. Кушинка, в перечень выявленных объектов культурного наследия Краснодарского края, утверждении его границ и режима использования территории"
Номер опубликования: 2301202504030016
Дата опубликования: 03.04.2025
Страница №4 из 5:
Увеличить