Официальное опубликование правовых актов
ОФИЦИАЛЬНОЕ ОПУБЛИКОВАНИЕ
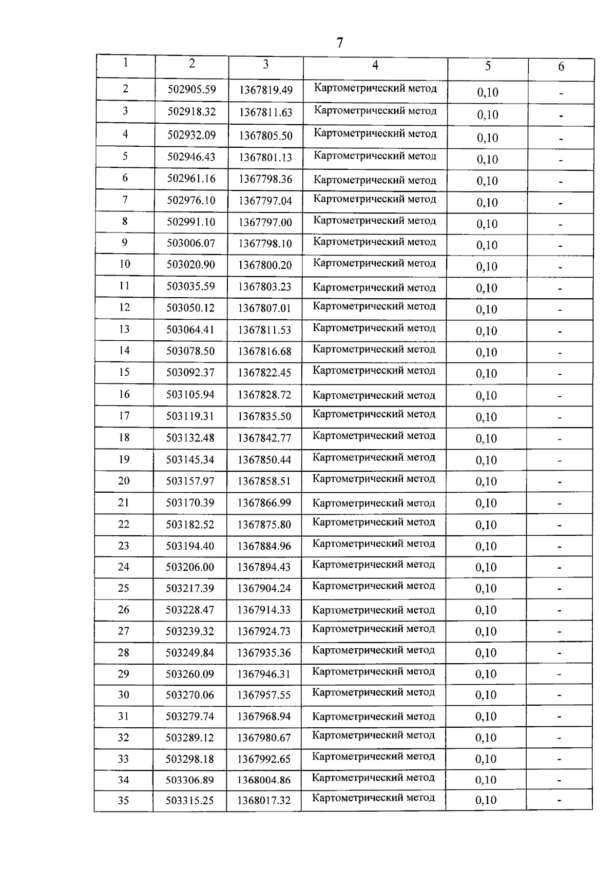
Приказ министерства природных ресурсов Краснодарского края от 14.01.2025 № 16
"Об установлении зон санитарной охраны источника питьевого и хозяйственно-бытового водоснабжения индивидуального предпринимателя Первышовой Александры Викторовны в муниципальном образовании Динской район"
Номер опубликования: 2301202501210006
Дата опубликования: 21.01.2025
Страница №9 из 14:
Увеличить