Официальное опубликование правовых актов
ОФИЦИАЛЬНОЕ ОПУБЛИКОВАНИЕ
Приказ администрации Краснодарского края от 04.09.2024 № 1201-КН
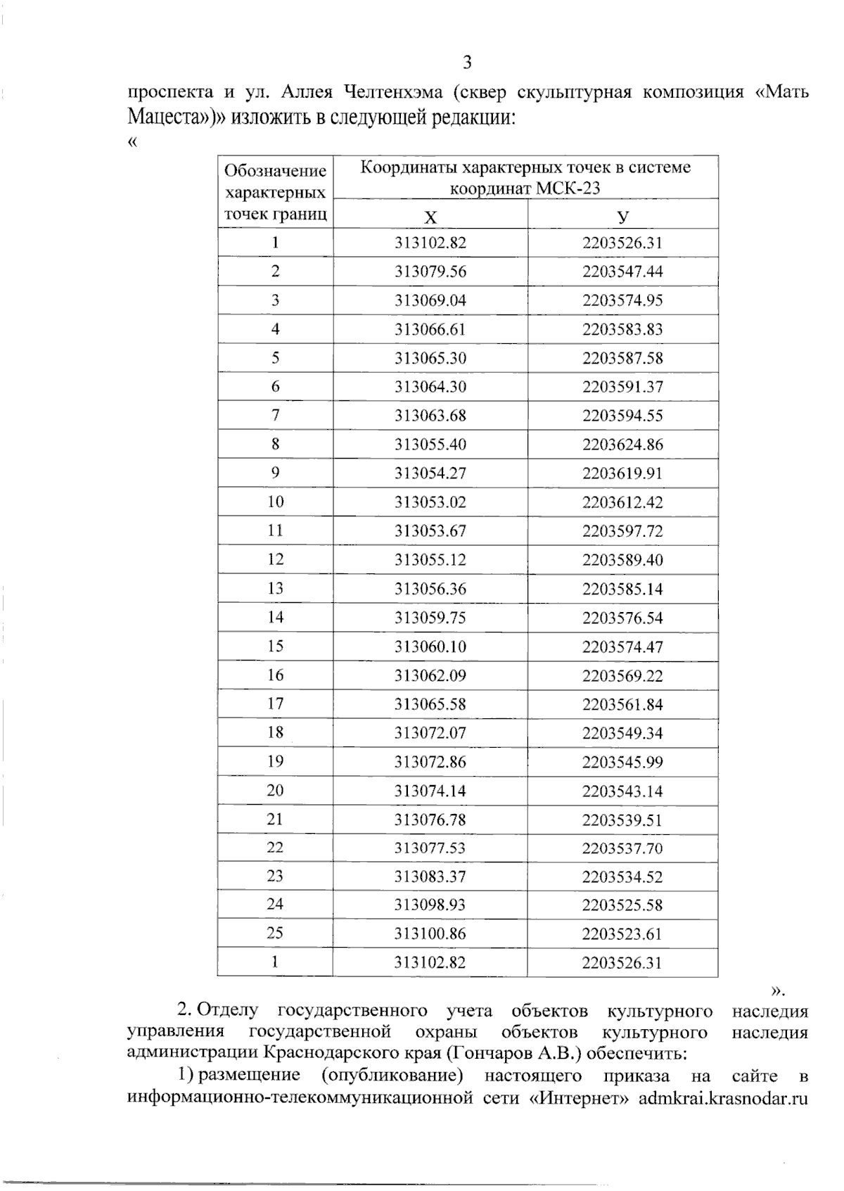
"О внесении изменений в приказ управления государственной охраны объектов культурного наследия Краснодарского края от 8 апреля 2016 г. № 88 "О включении выявленного объекта культурного наследия "Скульптурная композиция "Мацеста", расположенного по адресу: Краснодарский край, г. Сочи, Хостинский район, в районе Курортного проспекта и ул. Аллея Челтенхэма (сквер скульптурная композиция "Мать Мацеста"), в единый государственный реестр объектов культурного наследия (памятников истории и культуры) народов Российской Федерации в качестве объекта культурного наследия регионального значения, утверждении его предмета охраны и границ территории"
Номер опубликования: 2301202409120010
Дата опубликования: 12.09.2024
Страница №3 из 4:
Увеличить