Официальное опубликование правовых актов
ОФИЦИАЛЬНОЕ ОПУБЛИКОВАНИЕ
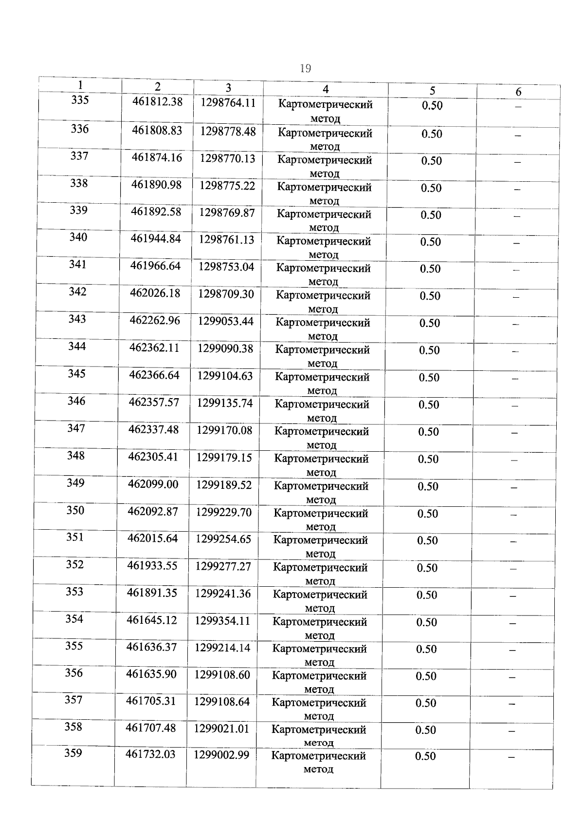
Приказ министерства природных ресурсов Краснодарского края от 02.09.2024 № 1227
"О внесении изменений в приказ министерства природных ресурсов Краснодарского края от 25 апреля 2022 г. № 626 "Об установлении границ лесопаркового зеленого пояса Крымского городского поселения Крымского района"
Номер опубликования: 2301202409090007
Дата опубликования: 09.09.2024
Страница №20 из 27:
Увеличить