Официальное опубликование правовых актов
ОФИЦИАЛЬНОЕ ОПУБЛИКОВАНИЕ
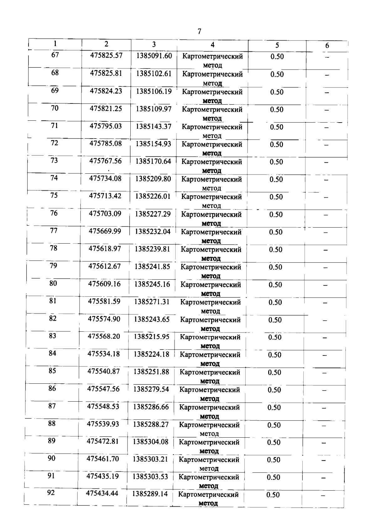
Приказ министерства природных ресурсов Краснодарского края от 02.09.2024 № 1223
"Об установлении границ лесопаркового зеленого пояса муниципального образования городской округ город Краснодар"
Номер опубликования: 2301202409090004
Дата опубликования: 09.09.2024
Страница №8 из 47:
Увеличить