Официальное опубликование правовых актов
ОФИЦИАЛЬНОЕ ОПУБЛИКОВАНИЕ
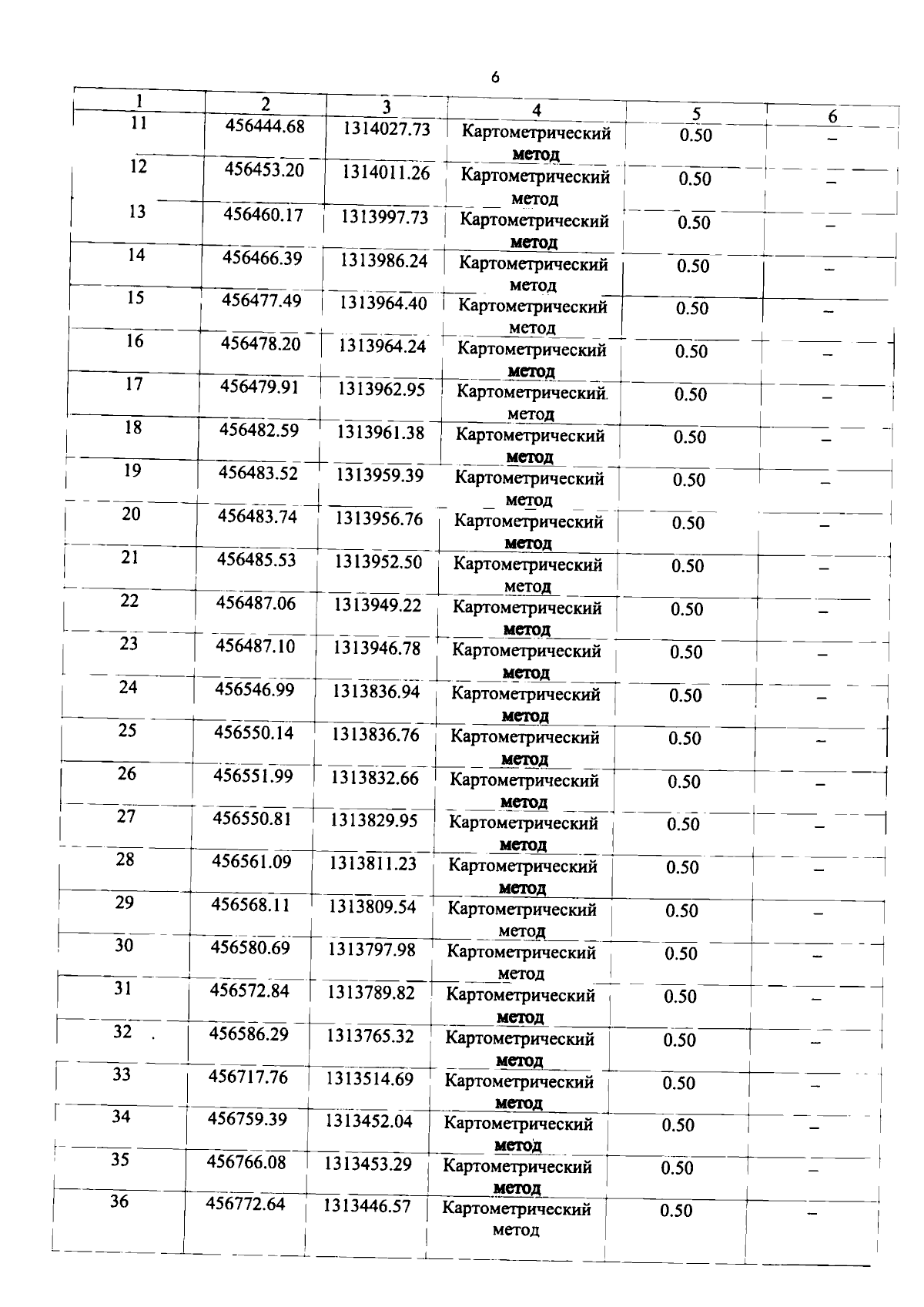
Приказ министерства природных ресурсов Краснодарского края от 02.09.2024 № 1226
"О внесении изменений в приказ министерства природных ресурсов Краснодарского края от 31 марта 2022 г. № 462 "Об установлении границ лесопаркового зеленого пояса Абинского городского поселения Абинского района"
Номер опубликования: 2301202409090003
Дата опубликования: 09.09.2024
Страница №7 из 11:
Увеличить