Официальное опубликование правовых актов
ОФИЦИАЛЬНОЕ ОПУБЛИКОВАНИЕ
Приказ администрации Краснодарского края от 19.08.2024 № 968-КН
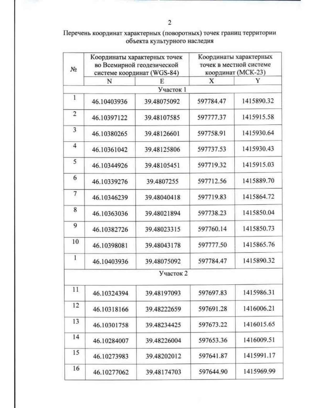
"Об утверждении границ и режима использования территории объекта культурного наследия федерального значения "Курганная группа (2 насыпи)", III тыс. до н.э. – ХVIII в. н.э., Краснодарский край, Ленинградский район, ст-ца Новоплатнировская, 4,62 км к воcтоко-юго-востоку (102°) от центра станицы"
Номер опубликования: 2301202408260014
Дата опубликования: 26.08.2024
Страница №4 из 6:
Увеличить