Официальное опубликование правовых актов
ОФИЦИАЛЬНОЕ ОПУБЛИКОВАНИЕ
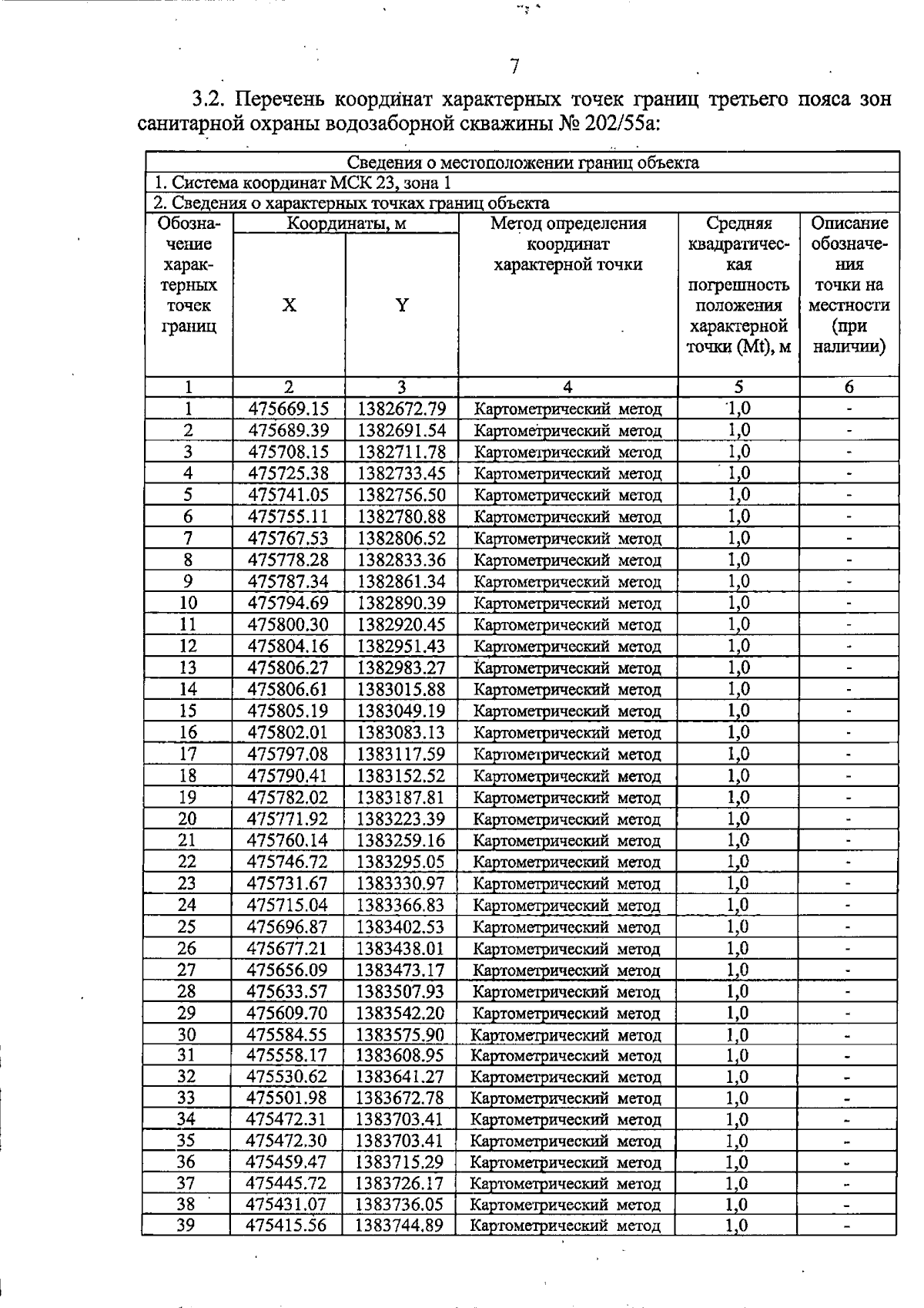
Приказ министерства природных ресурсов Краснодарского края от 14.08.2024 № 1090
"Об установлении зон санитарной охраны источника питьевого и хозяйственно-бытового водоснабжения общества с ограниченной ответственностью "Краснодар Водоканал" в муниципальном образовании город Краснодар"
Номер опубликования: 2301202408210014
Дата опубликования: 21.08.2024
Страница №9 из 13:
Увеличить