Официальное опубликование правовых актов
ОФИЦИАЛЬНОЕ ОПУБЛИКОВАНИЕ
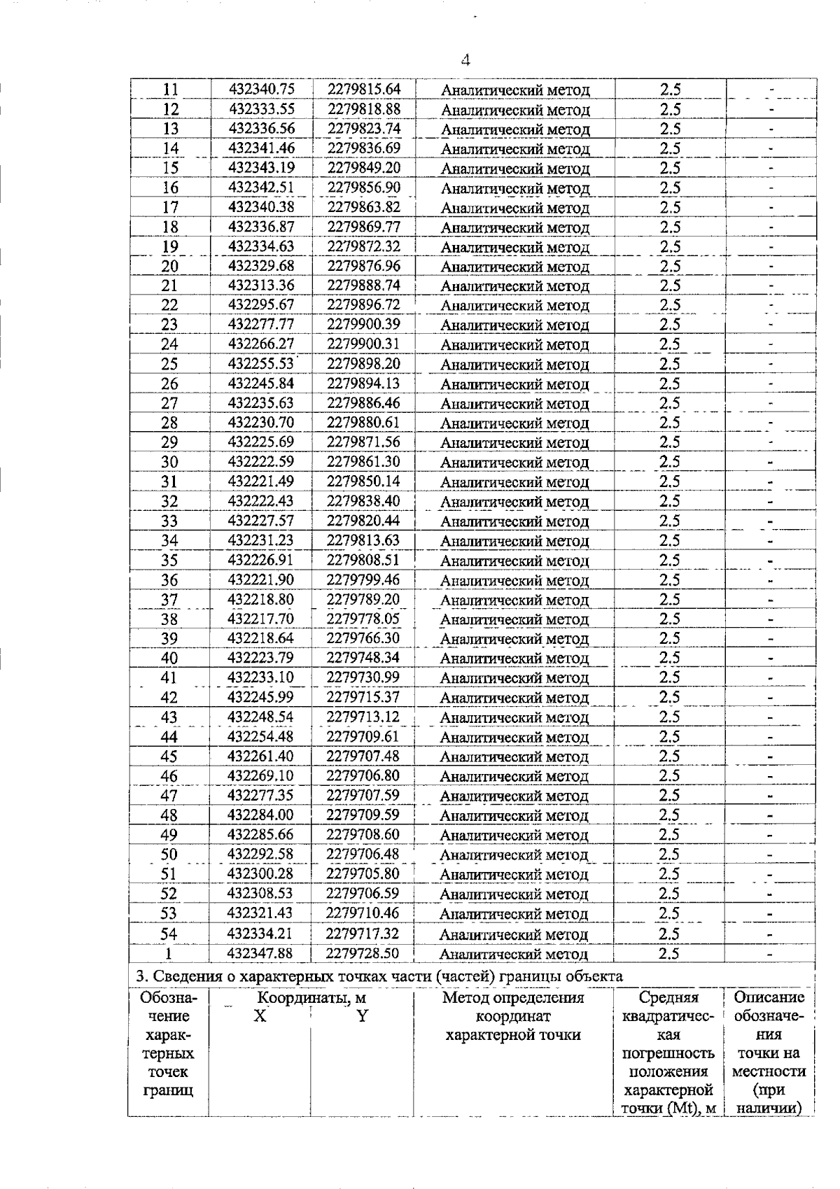
Приказ министерства природных ресурсов Краснодарского края от 14.08.2024 № 1088
"Об установлении зон санитарной охраны источников питьевого и хозяйственно-бытового водоснабжения общества с ограниченной ответственностью "Маслоэкстракционный завод Юг Руси" в муниципальном образовании Лабинский район"
Номер опубликования: 2301202408210009
Дата опубликования: 21.08.2024
Страница №6 из 11:
Увеличить