Официальное опубликование правовых актов
ОФИЦИАЛЬНОЕ ОПУБЛИКОВАНИЕ
Приказ администрации Краснодарского края от 06.08.2024 № 792-КН
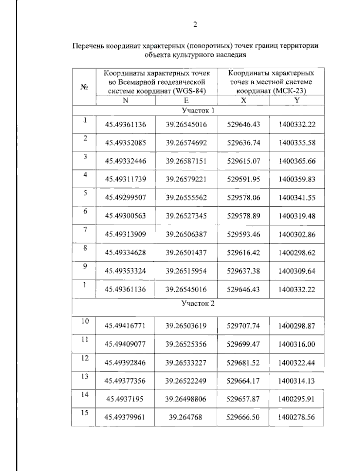
"Об утверждении границ и режима использования территории объекта культурного наследия федерального значения "Курганная группа "Бейсужек–14" (2 насыпи)", XIX в. до н.э. – XIII в. н.э., Краснодарский край, Кореновский район, пос. Пролетарский, 0,6 км к югу от поселка"
Номер опубликования: 2301202408130007
Дата опубликования: 13.08.2024
Страница №4 из 6:
Увеличить