Официальное опубликование правовых актов
ОФИЦИАЛЬНОЕ ОПУБЛИКОВАНИЕ
Приказ администрации Краснодарского края от 02.08.2024 № 760-КН
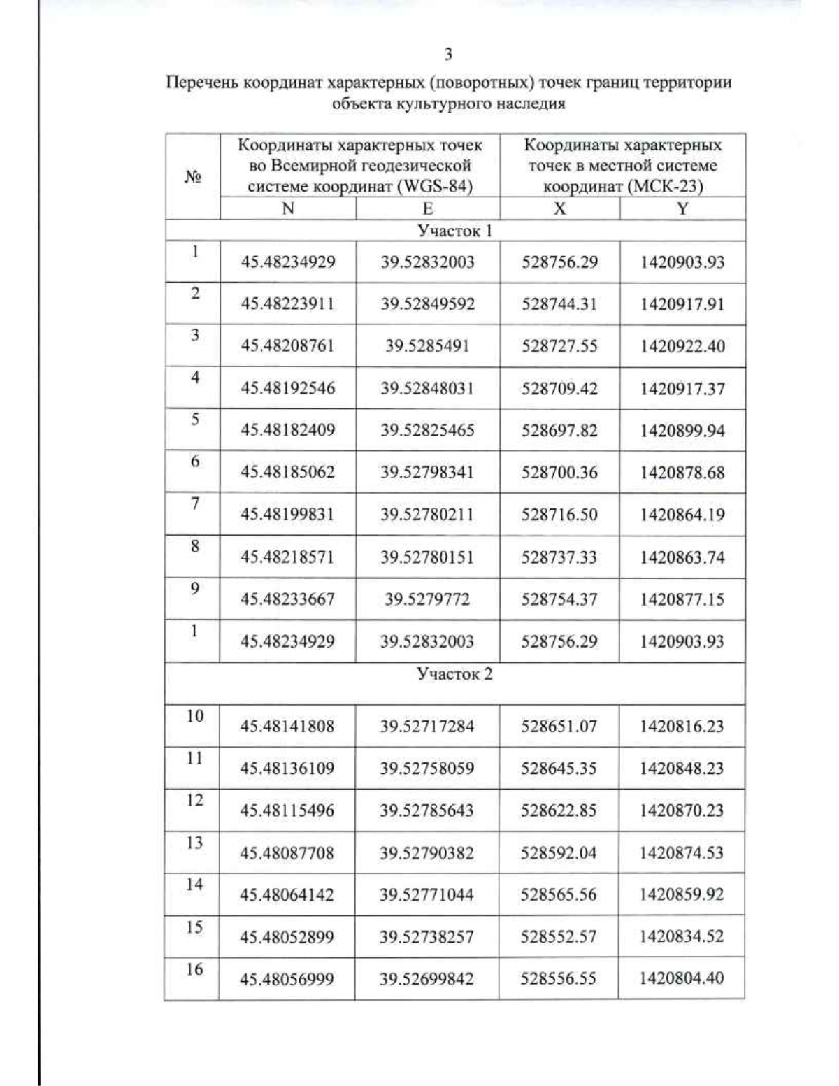
"Об утверждении границ и режима использования территории объекта культурного наследия федерального значения "Курганная группа "Мирный–6" (2 насыпи)", эпоха бронзы – средневековье, Краснодарский край, Кореновский район, пос. Мирный, 2 км к юго–западу от поселка"
Номер опубликования: 2301202408090004
Дата опубликования: 09.08.2024
Страница №5 из 7:
Увеличить