Приказ администрации Краснодарского края от 31.05.2024 № 529-КН
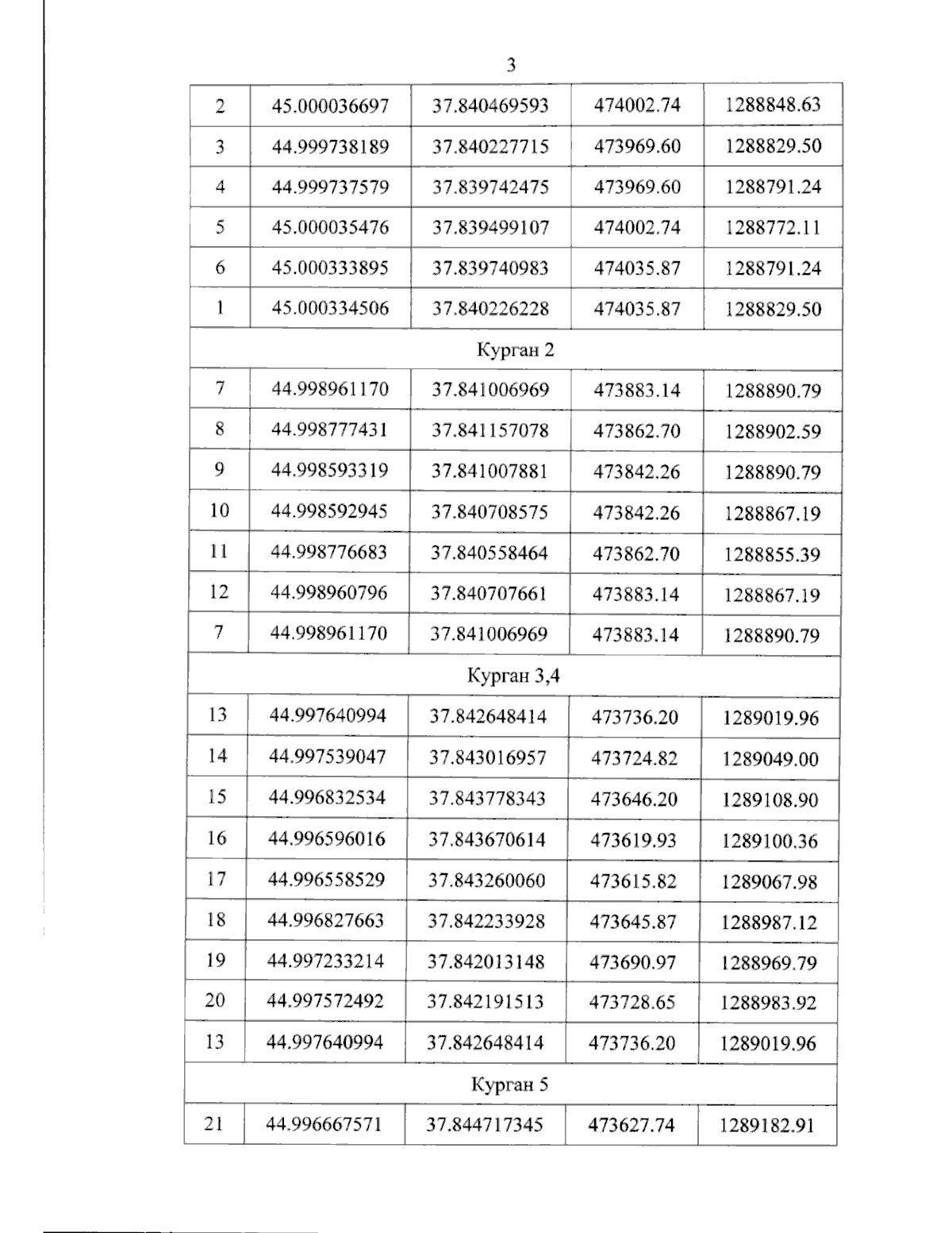
"Об утверждении границ и режима использования территории объекта культурного наследия федерального значения "Курганная группа "Львовский-7" (5 насыпей)", Краснодарский край, Крымский район, х. Львовский, 1,1 км к западо-юго-западу от хутора"
"Об утверждении границ и режима использования территории объекта культурного наследия федерального значения "Курганная группа "Львовский-7" (5 насыпей)", Краснодарский край, Крымский район, х. Львовский, 1,1 км к западо-юго-западу от хутора"
Номер опубликования: 2301202406070019
Дата опубликования:
07.06.2024
