Официальное опубликование правовых актов
ОФИЦИАЛЬНОЕ ОПУБЛИКОВАНИЕ
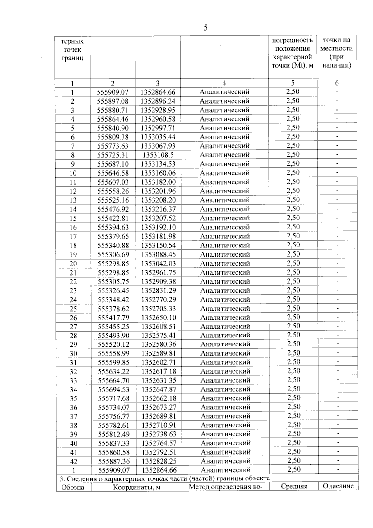
Приказ министерства природных ресурсов Краснодарского края от 05.04.2024 № 499
"Об установлении зон санитарной охраны источника питьевого и хозяйственно-бытового водоснабжения общества с ограниченной ответственностью "Агро-Рост" в муниципальном образовании Тимашевский район"
Номер опубликования: 2301202404120006
Дата опубликования: 12.04.2024
Страница №7 из 10:
Увеличить