Официальное опубликование правовых актов
ОФИЦИАЛЬНОЕ ОПУБЛИКОВАНИЕ
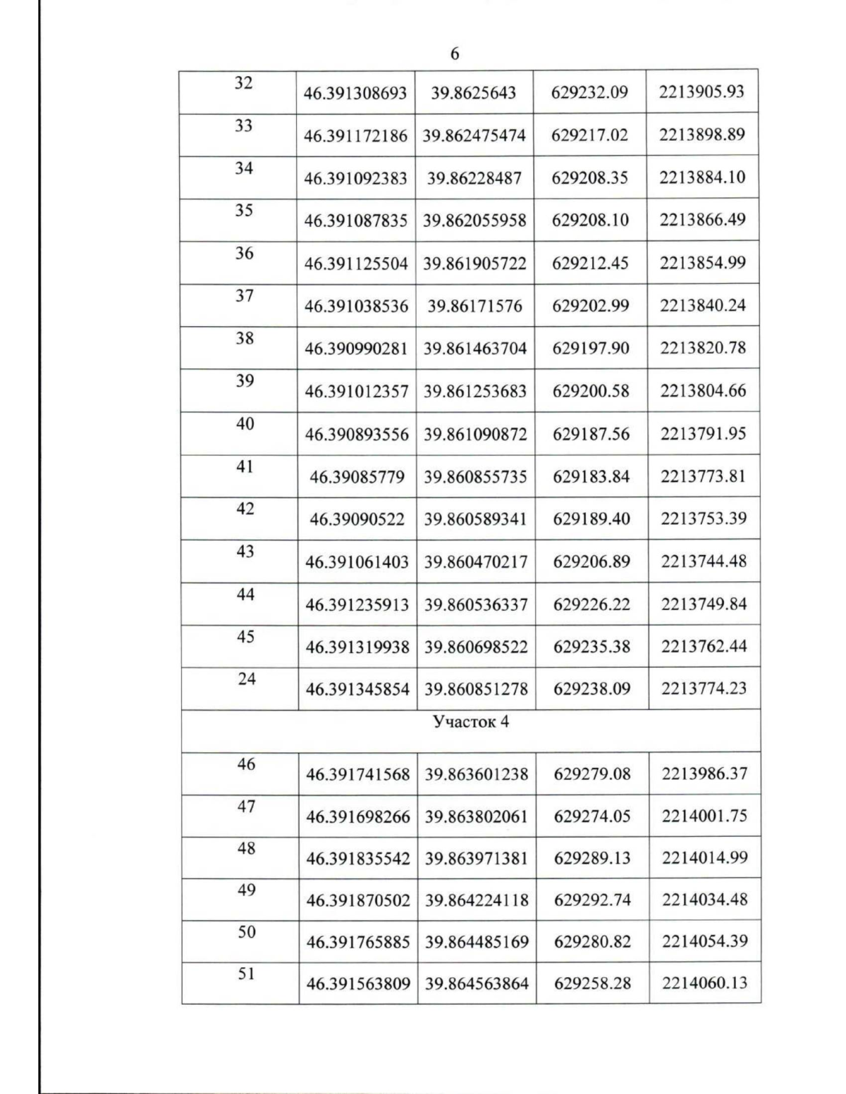
Приказ администрации Краснодарского края от 14.03.2024 № 190-КН
"Об утверждении границ и режима использования территории объекта культурного наследия федерального значения "Курганная группа "Кубанская 5" (14 насыпей)", эпоха бронзы – эпоха железа, Краснодарский край, Кущевский район, ст-ца Кисляковская, 12,5 км к востоко-юго-востоку от восточного угла станицы"
Номер опубликования: 2301202403210007
Дата опубликования: 21.03.2024
Страница №8 из 12:
Увеличить