Официальное опубликование правовых актов
ОФИЦИАЛЬНОЕ ОПУБЛИКОВАНИЕ
Приказ департамента информатизации и связи Краснодарского края от 28.02.2024 № 23
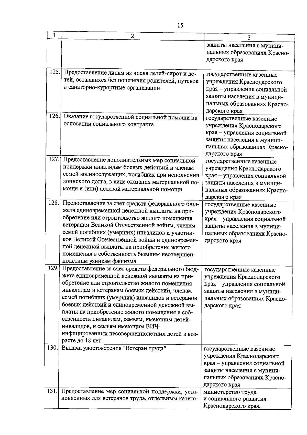
"О внесении изменений в приказ департамента информатизации и связи Краснодарского края от 20 января 2017 г. № 10 "Об утверждении Перечня государственных услуг, предоставление которых организуется в многофункциональных центрах предоставления государственных и муниципальных услуг Краснодарского края"
Номер опубликования: 2301202403060002
Дата опубликования: 06.03.2024
Страница №17 из 27:
Увеличить