Официальное опубликование правовых актов
ОФИЦИАЛЬНОЕ ОПУБЛИКОВАНИЕ
Приказ администрации Краснодарского края от 07.02.2024 № 67-КН
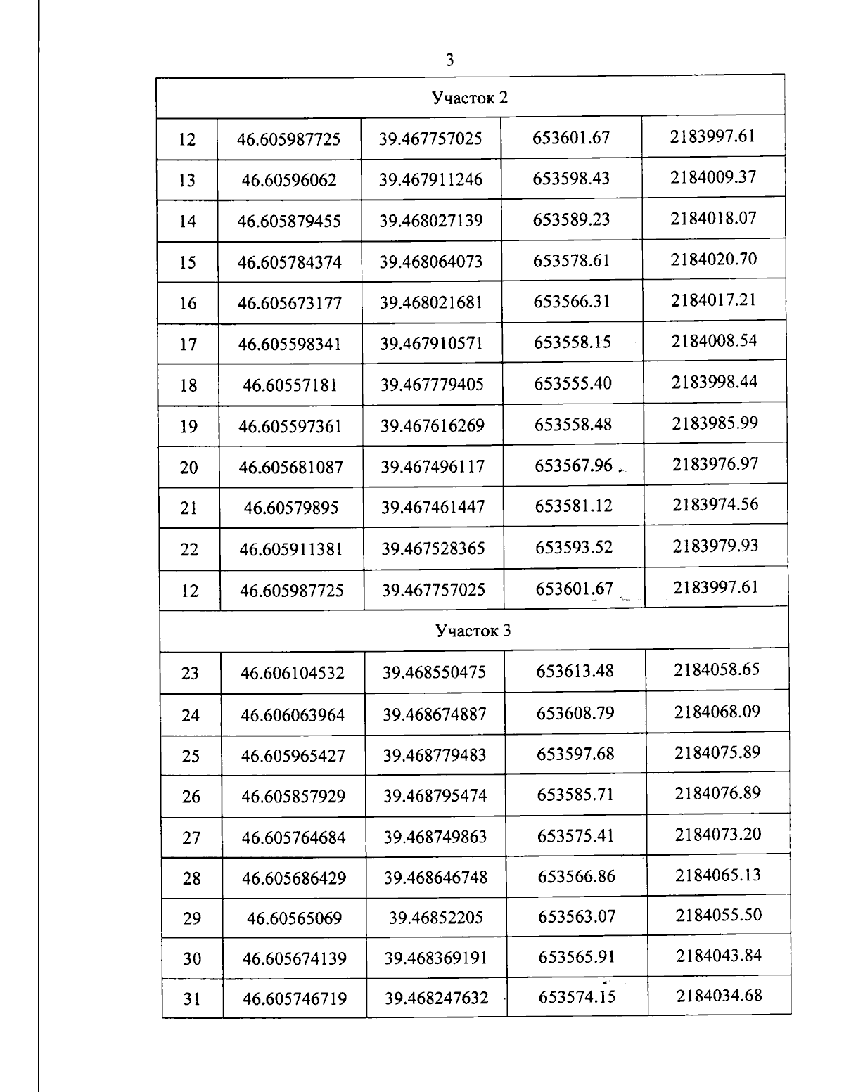
"Об утверждении границ и режима использования территории объекта культурного наследия федерального значения "Курганная группа "Первомайский 2" (3 насыпи)", эпоха бронзы – эпоха железа, Краснодарский край, Кущевский район, х. Первомайский, 0,85 км к югу от хутора"
Номер опубликования: 2301202402140005
Дата опубликования: 14.02.2024
Страница №5 из 7:
Увеличить