Официальное опубликование правовых актов
ОФИЦИАЛЬНОЕ ОПУБЛИКОВАНИЕ
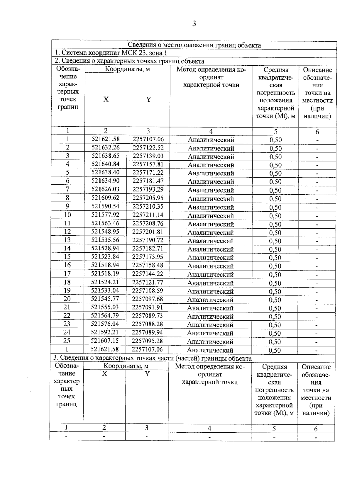
Приказ министерства природных ресурсов Краснодарского края от 05.02.2024 № 153
"Об установлении зон санитарной охраны источника питьевого и хозяйственно-бытового водоснабжения индивидуального предпринимателя Березняк Надежды Дмитриевны в муниципальном образовании Кавказский район"
Номер опубликования: 2301202402120009
Дата опубликования: 12.02.2024
Страница №5 из 9:
Увеличить