Официальное опубликование правовых актов
ОФИЦИАЛЬНОЕ ОПУБЛИКОВАНИЕ
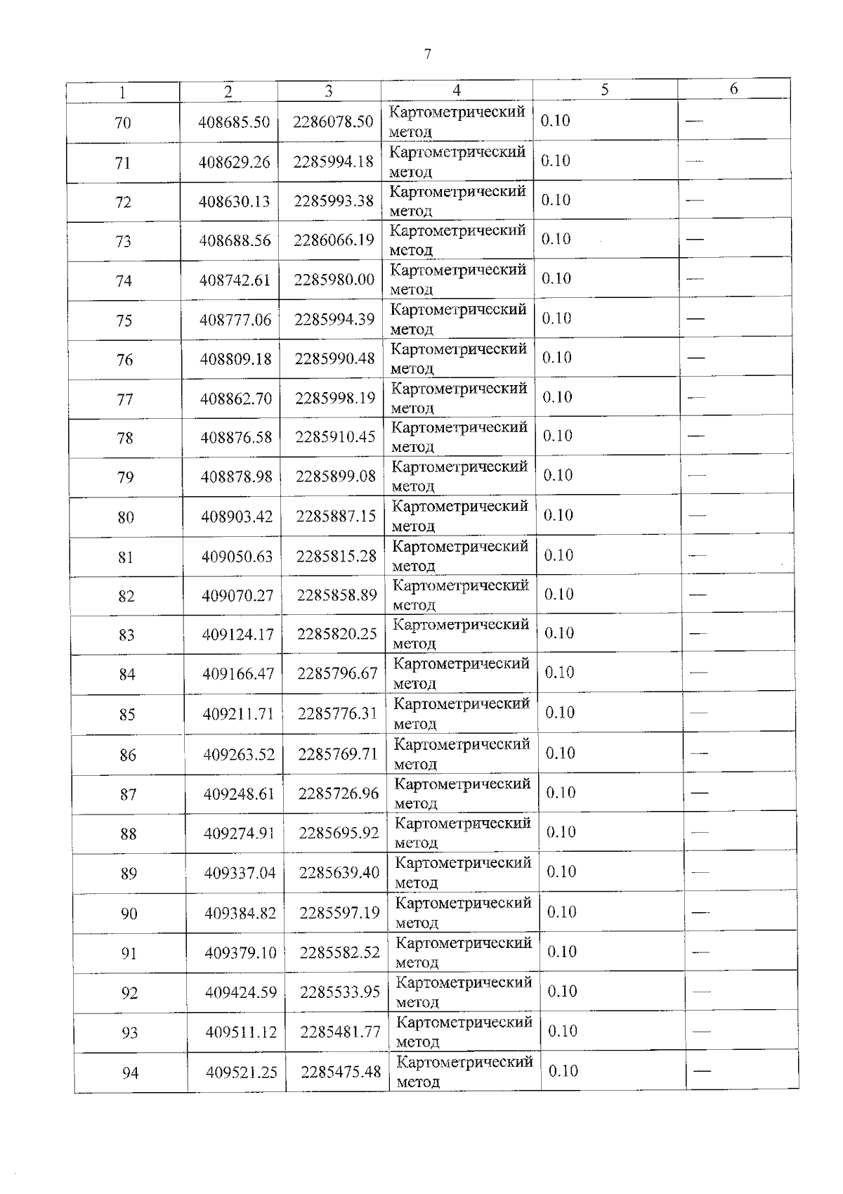
Приказ министерства природных ресурсов Краснодарского края от 05.02.2024 № 152
"06 установлении границ лесопаркового зеленого пояса поселка городского типа Мостовской Мостовского района"
Номер опубликования: 2301202402120001
Дата опубликования: 12.02.2024
Страница №8 из 22:
Увеличить