Приказ администрации Краснодарского края от 27.12.2023 № 1506-КН
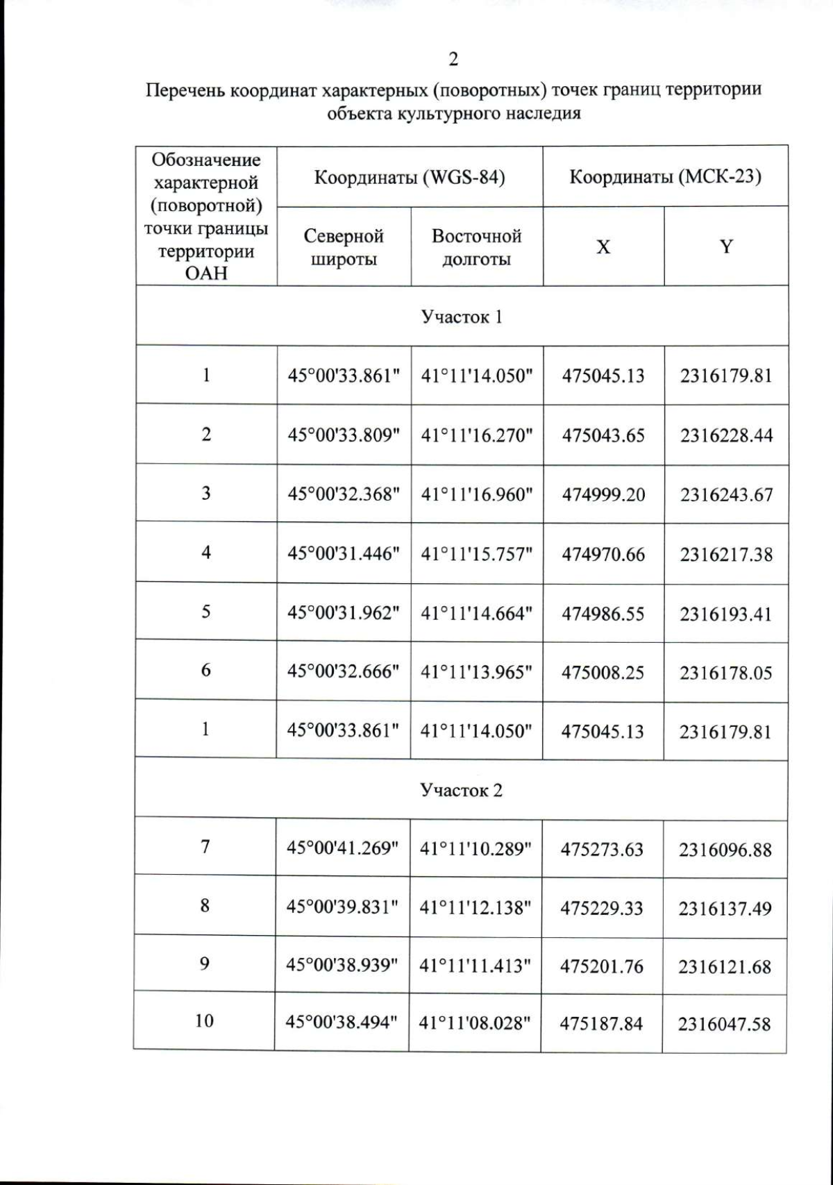
"Об утверждении границ и режима использования территории объекта культурного наследия федерального значения "Курганная группа (6 насыпей)", эпоха бронзы – средневековье, Краснодарский край, Новокубанский район, зерносовхоз "Армавирский", 3 км к северу от зерносовхоза, правый берег р. Кубани, вдоль автодороги в х. Горькая Балка"
"Об утверждении границ и режима использования территории объекта культурного наследия федерального значения "Курганная группа (6 насыпей)", эпоха бронзы – средневековье, Краснодарский край, Новокубанский район, зерносовхоз "Армавирский", 3 км к северу от зерносовхоза, правый берег р. Кубани, вдоль автодороги в х. Горькая Балка"
Номер опубликования: 2301202401040040
Дата опубликования:
04.01.2024
