Приказ администрации Краснодарского края от 27.12.2023 № 1500-КН
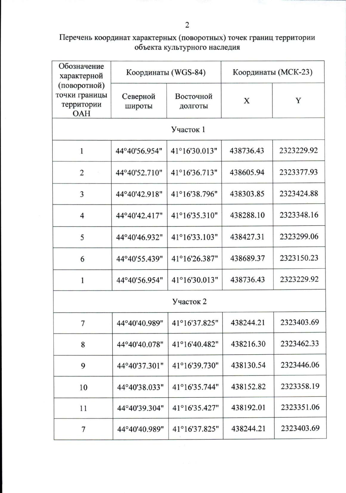
"Об утверждении границ и режима использования территории объекта культурного наследия федерального значения "Курганная группа (7 насыпей)", Краснодарский край, Новокубанский район, ст–ца Бесскорбная, колхоз "Родина", центральная усадьба"
"Об утверждении границ и режима использования территории объекта культурного наследия федерального значения "Курганная группа (7 насыпей)", Краснодарский край, Новокубанский район, ст–ца Бесскорбная, колхоз "Родина", центральная усадьба"
Номер опубликования: 2301202401040033
Дата опубликования:
04.01.2024
