Официальное опубликование правовых актов
ОФИЦИАЛЬНОЕ ОПУБЛИКОВАНИЕ
Приказ администрации Краснодарского края от 27.12.2023 № 1502-КН
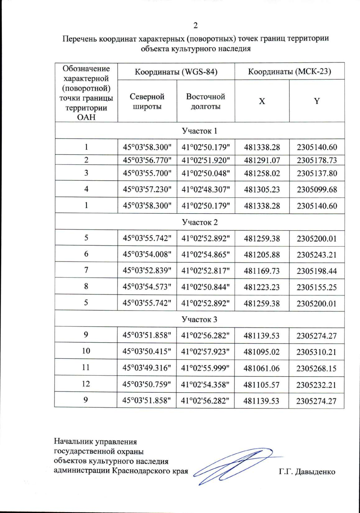
"Об утверждении границ и режима использования территории объекта культурного наследия федерального значения "Курганная группа (3 насыпи)", Краснодарский край, Новокубанский район, КНИИ по испытанию тракторов и сельскохозяйственных машин, опытно–производственное хозяйство "Ленинский путь", центральная усадьба"
Номер опубликования: 2301202401040030
Дата опубликования: 04.01.2024
Страница №4 из 5:
Увеличить