Официальное опубликование правовых актов
ОФИЦИАЛЬНОЕ ОПУБЛИКОВАНИЕ
Приказ администрации Краснодарского края от 22.12.2023 № 1424-КН
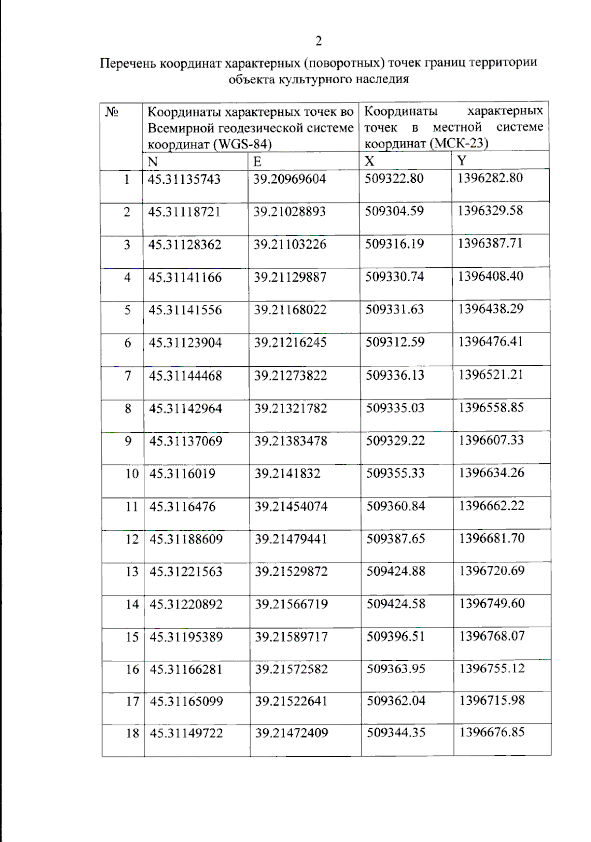
"Об утверждении границ и режима использования территории объекта культурного наследия федерального значения "Курганная группа "Пластуновская 2" (8 насыпей)", эпоха бронзы – позднее средневековье, Краснодарский край, Динской район, ст–ца Пластуновская, 4,75 км к северо–западу от церкви станицы"
Номер опубликования: 2301202312280095
Дата опубликования: 28.12.2023
Страница №4 из 6:
Увеличить