Официальное опубликование правовых актов
ОФИЦИАЛЬНОЕ ОПУБЛИКОВАНИЕ
Приказ администрации Краснодарского края от 22.12.2023 № 1416-КН
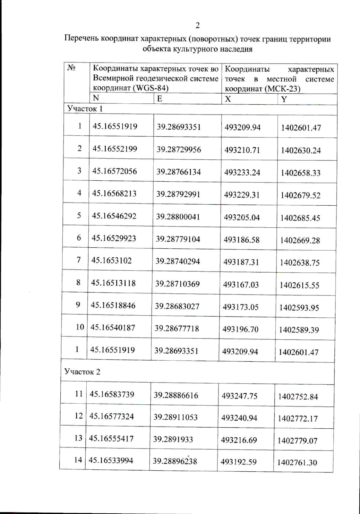
"Об утверждении границ и режима использования территории объекта культурного наследия федерального значения "Курганная группа "Первореченская 1" (3 насыпи)", эпоха бронзы – позднее средневековье, Краснодарский край, Динской район, с. Первореченское, 6,1 км к западу от восточной окраины села"
Номер опубликования: 2301202312280088
Дата опубликования: 28.12.2023
Страница №4 из 6:
Увеличить