Официальное опубликование правовых актов
ОФИЦИАЛЬНОЕ ОПУБЛИКОВАНИЕ
Приказ администрации Краснодарского края от 22.12.2023 № 1414-КН
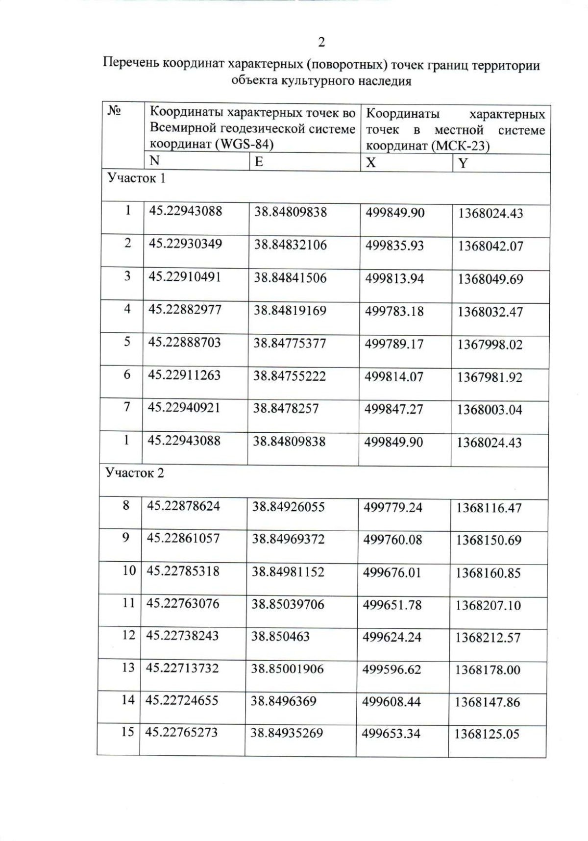
"Об утверждении границ и режима использования территории объекта культурного наследия федерального значения "Курганная группа "Новотитаровская 14" (6 насыпей)", эпоха бронзы – позднее средневековье, Краснодарский край, Динской район, с. Примаки, 0,625 км к северу от северной окраины села"
Номер опубликования: 2301202312280085
Дата опубликования: 28.12.2023
Страница №4 из 6:
Увеличить