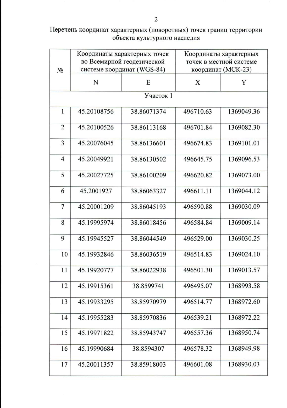
Приказ администрации Краснодарского края от 22.12.2023 № 1410-КН
"Об утверждении границ и режима использования территории объекта культурного наследия федерального значения "Курганная группа "Новотитаровская 10" (5 насыпей)", эпоха бронзы – позднее средневековье, Краснодарский край, Динской район, с. Примаки, 0,25 км к востоку от восточной окраины села"
"Об утверждении границ и режима использования территории объекта культурного наследия федерального значения "Курганная группа "Новотитаровская 10" (5 насыпей)", эпоха бронзы – позднее средневековье, Краснодарский край, Динской район, с. Примаки, 0,25 км к востоку от восточной окраины села"
Номер опубликования: 2301202312280081
Дата опубликования:
28.12.2023
