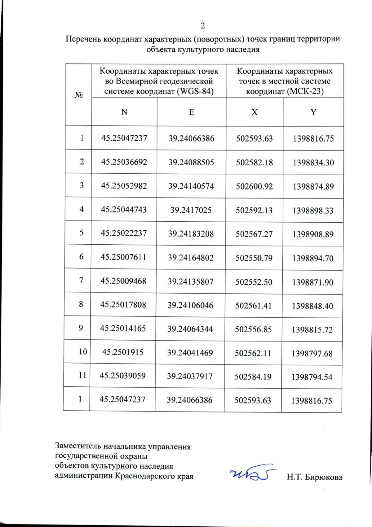
Приказ администрации Краснодарского края от 22.12.2023 № 1434-КН
"Об утверждении границ и режима использования территории объекта культурного наследия федерального значения "Курганная группа "Пластуновская 15" (2 насыпи)", эпоха бронзы – позднее средневековье, Краснодарский край, Динской район, ст–ца Пластуновская, 4,67 км к юго–юго–западу от церкви станицы"
"Об утверждении границ и режима использования территории объекта культурного наследия федерального значения "Курганная группа "Пластуновская 15" (2 насыпи)", эпоха бронзы – позднее средневековье, Краснодарский край, Динской район, ст–ца Пластуновская, 4,67 км к юго–юго–западу от церкви станицы"
Номер опубликования: 2301202312280061
Дата опубликования:
28.12.2023
