Официальное опубликование правовых актов
ОФИЦИАЛЬНОЕ ОПУБЛИКОВАНИЕ
Приказ администрации Краснодарского края от 25.12.2023 № 1471-КН
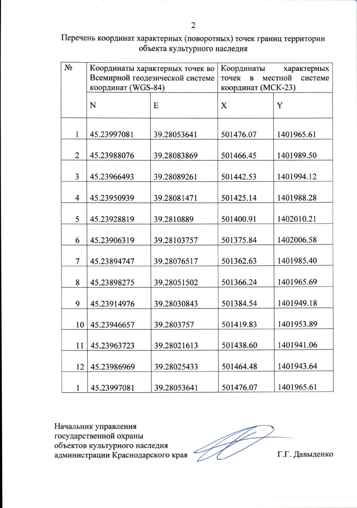
"Об утверждении границ и режима использования территории объекта культурного наследия федерального значения "Курганная группа "Пластуновская 53" (2 насыпи)", эпоха бронзы – позднее средневековье, Краснодарский край, Динской район, ст–ца Пластуновская, 5,78 км к юго–востоку от церкви станицы"
Номер опубликования: 2301202312280042
Дата опубликования: 28.12.2023
Страница №4 из 5:
Увеличить