Официальное опубликование правовых актов
ОФИЦИАЛЬНОЕ ОПУБЛИКОВАНИЕ
Приказ администрации Краснодарского края от 25.12.2023 № 1480-КН
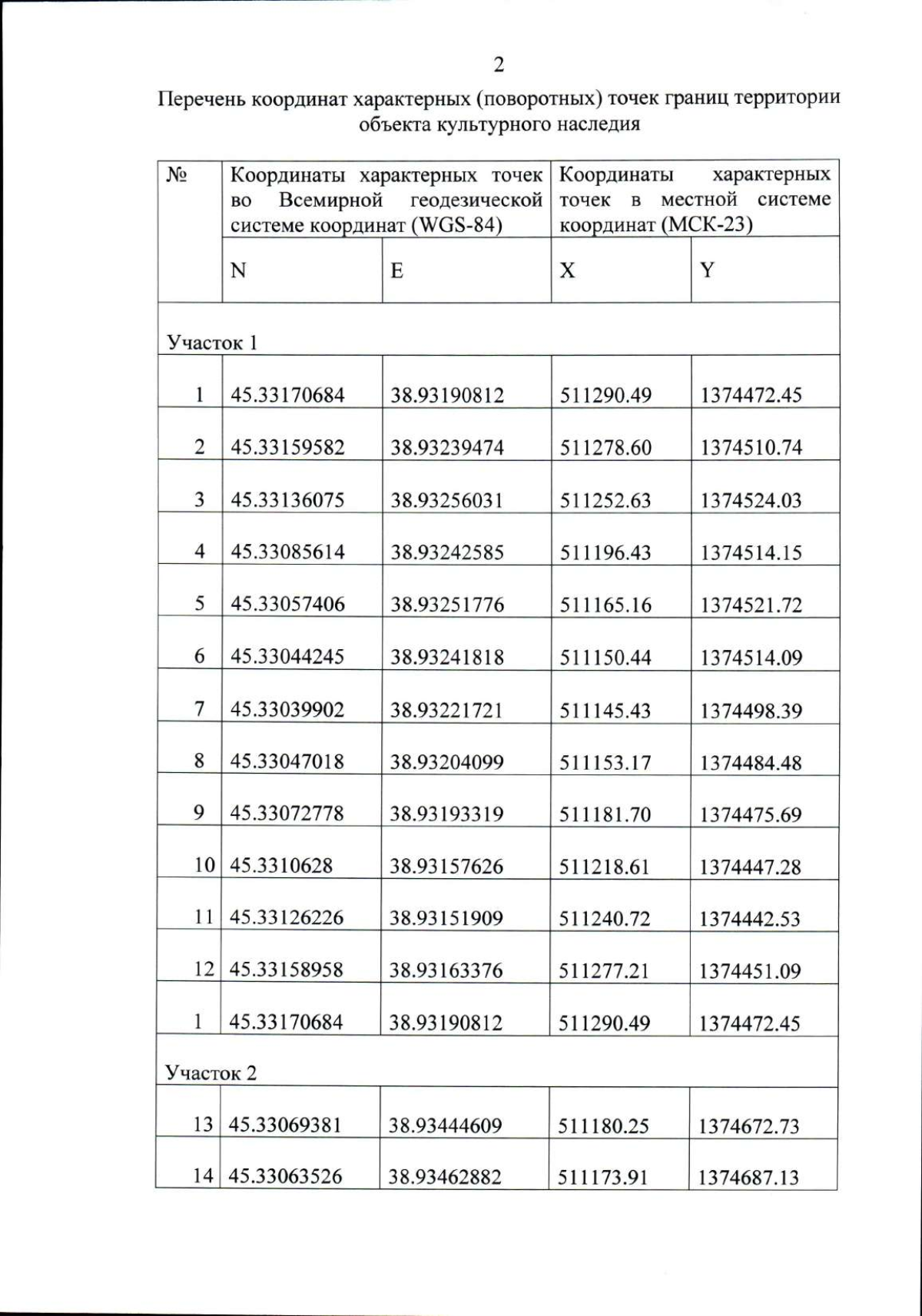
"Об утверждении границ и режима использования территории объекта культурного наследия федерального значения "Курганная группа "МХП–1" (3 насыпи)", Краснодарский край, Динской район, ст–ца Старомышастовская, 10,025 км к северо–западу от северо–западного угла станицы"
Номер опубликования: 2301202312280041
Дата опубликования: 28.12.2023
Страница №4 из 6:
Увеличить