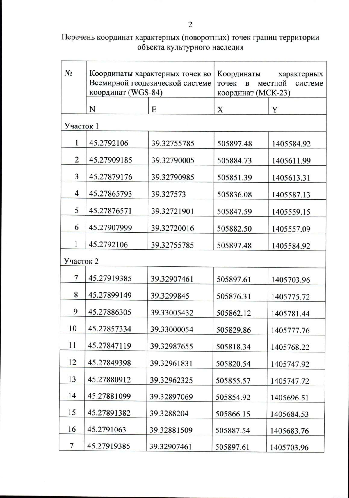
Приказ администрации Краснодарского края от 25.12.2023 № 1449-КН
"Об утверждении границ и режима использования территории объекта культурного наследия федерального значения "Курганная группа "Пластуновская 30" (7 насыпей)", эпоха бронзы – позднее средневековье, Краснодарский край, Динской район, ст–ца Пластуновская, 5,17 км к востоко–юго–востоку от церкви станицы"
"Об утверждении границ и режима использования территории объекта культурного наследия федерального значения "Курганная группа "Пластуновская 30" (7 насыпей)", эпоха бронзы – позднее средневековье, Краснодарский край, Динской район, ст–ца Пластуновская, 5,17 км к востоко–юго–востоку от церкви станицы"
Номер опубликования: 2301202312280024
Дата опубликования:
28.12.2023
